所屬科目:研究所、轉學考(插大)-基礎數學
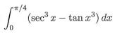
(a)(5%)
(b)(5%)
(c)(10%)
2. (10%) Find the area inside r = sinθ and outside r = sin 2θ.
3. (15%) Let a be the number of units of labor (at $200 per unit), y be the number of units of capital (at $3200 per unit), and be the production function. Find the minimum cost of producing 50000 units of a product.
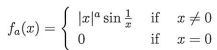
5. (20%) Find the range of a such that the function is differentiable on R.
6. (20%) For each positive integer n, let fn(x) be defined on [0, 1] byFor each , find the limit of {fn(t)} and state your reason.