所屬科目:研究所、轉學考(插大)-基礎數學
一、CALCULUS 1.
2.
(a)
4.
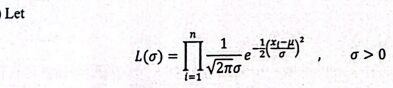
Where μ and , i = 1,2,...,n are known values.
Find the value of σ at which L(σ) has its maximum. (Skip any derivative test)
(a) Please write down the (i,j)-entry of the product BCA in terms of Sigma notations (i.e. Σ).
(b) Please prove that .
(a) Write down the characteristic polynomial of A and use it to find the eigenvalues.
(b) Find the eigenspaces of A.
(c) Orthogonally diagonalize the matrix A. (You need to find out an orthogonal matrix P and a diagonal matrix D such that PᵀAP = D.)
3. Let T: V → W be a linear transformation and B = be a spanning set for V. Please show that T(B) = spans the range of T.
(a) Prove that xᵀAx = 0 for all x ∈ .
(b) Prove that I + A is invertible.