所屬科目:研究所、轉學考(插大)-基礎數學
1.
2.
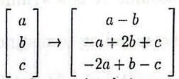
3.
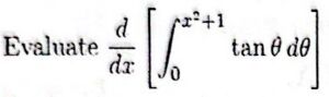
4.
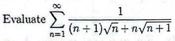
5.
6. Find the point closest to the origin on the curve of intersection of the plane y + 2z = 3 and the cone z² = x² + y².
7. Let T be the endomorphism of R³ defined by . Find the eigenvalues of T and, for each eigenvalue, find the associated eigenvector such that its length equals to 1.
8. Let A = , B = be two matrices with > 0, 1 ≤ i, j ≤ n. Define
Prove that κ(A, B) ≥ 0.
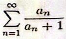
9. Let ≥ 0 for all n ∈ N. Prove that converges if and only if converges.