所屬科目:研究所、轉學考(插大)-基礎數學
(b) (10%) Verify (Hint: Use Jensen's inequality)
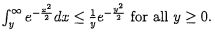
(b) (10%) Show that Hint: Show
6. (10%) Given the two by two matrix Evaluate using the eigenvalue decomposition .Note that G0 = I where I is the identity matrix.