阿摩線上測驗
登入
首頁
>
研究所、轉學考(插大)◆控制系統
>
110年 - 110 國立臺灣大學_碩士班招生考試_工程科學及海洋工程學研究所丙組:控制系統(B)#100939
> 申論題
題組內容
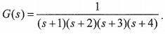
2. A root locus problem is shown in Fig.2 with plan
(d)Find the range of K for stability in (c). (4%)
相關申論題
(a) Please solve the percent overshoot and the settling time of system in Fig. 1(a). (10%)
#423000
(b) The control performance in Fig.1(a) can be improved by the system in Fig. 1(b) with. Please design Ki and K2 to achieve 25% s(s+1) overshoot and settling time 0.2 sec. (15%)
#423001
(a) Sketch the root locus as D(s)-K, including asymptotes and breakaway points. (7%)
#423002
(b) Find the range of K for stability in (a). (4%)
#423003
(c) In order to improve the stability, a zero is added in the controller as D(s)= K(s + a) to make the root locus cross the jw-axis at ±j5.5. Please find the value of a, and sketch the new root locus.(10%)
#423004
(a) Please derive and sketch the Nyquist plot. (15%.)
#423006
(b) Find the range of K for stability by Nyquist stability criterion. (10%.)
#423007
(a) Please derive the state space equation of the closed-loop control system. (10%)
#423008
(b)Please solve the gain Ka and K, for the closed-loop poles located at-2 ± j2.(15%)
#423009
(e) Consider the control system in Fig.5 with the C(s) you derived in (d). Roughly sketch the root locus of the system as 0 <K<ㆀ. Where does the root locus intersect with the imaginary axis and what is the corresponding K?
#446322
相關試卷
110年 - 110 國立清華大學碩士班考試入學試題_動力機械工程學系/乙組(電機控制組):控制系統#105247
110年 · #105247
110年 - 110台灣聯合大學系統_碩士班招生考試_電機類:控制系統#104974
110年 · #104974
110年 - 110 國立臺灣大學_碩士班招生考試_工程科學及海洋工程學研究所丙組:控制系統(B)#100939
110年 · #100939
110年 - 110 國立臺灣大學_碩士班招生考試_機械工程研究所系統控制組:控制系統(A)#100776
110年 · #100776