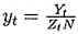
2 The labor search model (25 points)
Assume the workers in the model are all in the labor force. That is, the workers are either employed
or unemployed, with U denoting the fractions of workers who are unemployed, and (1 - U) the
fraction who are employed. The jobs of the employed differ according to the wage that they are
paid. Each period, there is a probability p that the unemployed worker can draw one job offer from
the wage distribution,
. The worker has the option to reject the offer, in which
case, he or she receives unemployment compensation. Alternatively, the worker can accept the offer
to work at w, in which case, he or she receives w each period. Let
denote the expected value
for a worker who has offer with wage w in hand.
is an increasing and concave function of
wage, u. In addition, Vu denotes the value of the unemployed worker, which is assunned to equal b.
In the model, there will be fows between the pool of employed workers and the pool of unemployed
worker. Some employed workers will be separated from their jobs and become unemployed, while
some nnemployed workers will receive job offers that are suficiently attractive to accept.
1 (5 points) Let the reservation wage be defined as the wage such that the worker is indifferent
between accepting and rejecting an offer. Please write down the equation that pins down the
reservation wage in the model. Use the reservation wage to characterize the decision regarding
accepting the job offer or not.