所屬科目:造船原理
二、試說明如何計算船舶於某固定吃水之 LCB 與 值。又對於排水型船, 不同之設計船速範圍,其 LCB 與 應作何種不同之考慮?原因為何? (20 分)
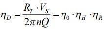
四、試推導準推進效率 ,並分別說明之定義與意義(20 分)其中:為船舶無螺槳作動下的總阻力為船速n 為螺槳軸每秒轉速Q 為螺槳吸收的轉矩
五、(一)分別說明 L/B、B/T、對船舶直線航向穩定性的影響。 (10 分)