所屬科目:研究所、轉學考(插大)-微積分
7. Which of the following 3 series is/are bounded?__(7)__ (A)(B)(C)
8.Which of the following 3 series is/are convergent?__(8)__(A)(B)(C)
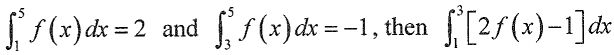
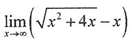
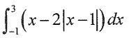
3. The valuc of is__(3)__.
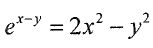
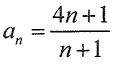
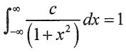
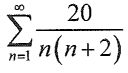
4. lf =__(4)__.
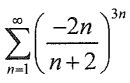
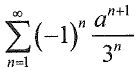
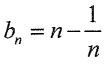
5.Write down the range of a, which makes the series converge.__(5)__.
6. lf is the Taylor polynomial of order 4 generated byat 0, then the constant in front of x4, c4=__(6)__.
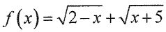
9. The domain of is__(9)__.
3. The slope of the tangent line at the point (1, 1) on the graph ofequals__(3)__.
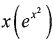
4. The value ofequals__(4)__.