所屬科目:電磁學
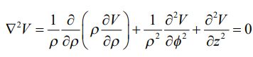
(一)如果置於 Φ = 0 面及Φ = a 面的導體,其電位分別維持在V=0 及V= V0, 求該結構的電容值為何?(10 分)
(二)如果該介電物質改為一導電物質,其導電係數為 σ ,其電位的邊界條 件與(一)相同,求該結構的電阻值為何?(10 分)
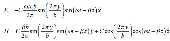
四、如圖四所示之一矩形波導管,其內部之電磁場(電場 E 及磁場 H)如下列式子所給定:
其中 C 為常數, β為相位常數, ω = 2π f 且 f 為激發頻率。假設波導管 的四面金屬牆均為理想導體,試求出四面內牆上的面電荷密度(surface charge density)及面電流密度(surface current density)。(24 分)