阿摩線上測驗
登入
首頁
>
電磁學
>
111年 - 111 鐵路特種考試_高員三級_電子工程:電磁學#108613
> 申論題
題組內容
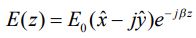
五、一右手圓形極化平面波可用下列相量(phasor)來表示,
其中 β 為相位常數。若該平面波正向入射在位於 z = 0 的理想導體牆, 試回答下列問題:
(三)寫出總電場以正弦參考時間(sine time reference)為基礎的瞬間表示式。(6 分)
相關申論題
(一)電位(V)。 (8 分)
#466078
(二)電場強度(E) 。(12 分)
#466079
(一)空氣中一無限長直導線與其附近之一直角三角形導線,如圖二(a) 所示。(10 分)
#466080
(二)空氣中一無限長直導線與其附近之一等腰三角形導線,如圖二(b) 所示。(10 分)
#466081
(一)如果置於 Φ = 0 面及Φ = a 面的導體,其電位分別維持在V=0 及V= V0, 求該結構的電容值為何?(10 分)
#466082
(二)如果該介電物質改為一導電物質,其導電係數為 σ ,其電位的邊界條 件與(一)相同,求該結構的電阻值為何?(10 分)純量函數 f 之梯度運算(gradient)在圓柱座標的表示式為:拉普拉斯方程式(Laplace’s equation)在圓柱座標的表示式為:
#466083
四、如圖四所示之一矩形波導管,其內部之電磁場(電場 E 及磁場 H)如下列式子所給定:其中 C 為常數, β為相位常數, ω = 2π f 且 f 為激發頻率。假設波導管 的四面金屬牆均為理想導體,試求出四面內牆上的面電荷密度(surface charge density)及面電流密度(surface current density)。(24 分)
#466084
(一)決定其反射波的極化。(4 分)
#466085
(二)找出該理想導體牆上感應的電流。 (6 分)
#466086
四、有一電路,包含一個內阻為 50 Ω,能產生電壓為 10 V,頻率為 300 MHz 的訊號產生器;訊號產生器連接一長度為 2 公尺,阻抗為50Ω的傳輸線; 傳輸線末端接上一阻抗為 (30 - 40 j )Ω 的負載。請詳細推導此電路中的相 位常數、傳輸線連接負載處的反射係數、傳輸線上電壓的表示式。以及若要讓負載端接收到最大的平均功率,其阻抗應設定為多少?(20 分)
#560645
相關試卷
114年 - 114 地方政府公務特種考試_三等_電子工程、電信工程:電磁學#134740
114年 · #134740
114年 - 114 公務升官等考試_薦任_電子工程、電信工程:電磁學#133233
114年 · #133233
114年 - 114 高等考試_三級_電子工程、電信工程:電磁學#128778
114年 · #128778
113年 - 113 地方政府公務特種考試_三等_電子工程:電磁學#124547
113年 · #124547
113年 - 113 高等考試_三級_電子工程、電信工程:電磁學#121507
113年 · #121507
112年 - 112 地方政府特種考試_三等_電子工程:電磁學#118373
112年 · #118373
112年 - 112 公務升官等考試_薦任_電子工程、電信工程:電磁學#117309
112年 · #117309
112年 - 112 高等考試_三級_電子工程、電信工程:電磁學#115766
112年 · #115766
111年 - 111 地方政府特種考試_三等_電子工程:電磁學#112356
111年 · #112356
111年 - 111 高等考試_三級_電子工程:電磁學#109687
111年 · #109687