所屬科目:高中(學測,指考)模擬考◆數學
1. 請問絕對值不等式 | x-1 |>x 的解為何?(A) x<(B) x>(C) x>1(D) x ≥ 1(E) x ≤ 1
2. 坐標平面上一圓 C:x2+y2=1 與一定點 P(2 , 0),O 為原點。試問圓 C 上共有幾個點 M使得∠MPO=20°?(A) 0 個(B) 1 個(C) 2 個(D) 3 個(E) 4 個
3. 下列五個選項中的三角形,請選出面積最大者。(A)(B)(C)(D)(E)
4. 一個容器內裝有細沙 30 立方公分,細沙從容器底下一個細小的孔慢慢流出,已知 t 分鐘後容器內剩餘的細沙量為 y 立方公分,可以用數學式 y=30×a-bt 表示,其中 a,b 為常數。若經過 8 分鐘後,發現容器內還剩餘一半的細沙,試問大約再過幾分鐘後,容器內的細沙只有開始時的五分之一?(A) 9.6 分鐘(B) 10.6 分鐘(C) 11.6 分鐘(D)15.6 分鐘(E) 18.6 分鐘
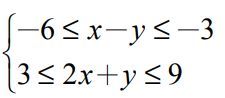
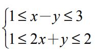
5. 坐標平面上 O 為原點,且 A(1 , 1),B(-1 , 2)。令 Ω 為滿足的所有點 P所形成的區域,其中 1 ≤ α ≤ 3,1 ≤ β ≤ 2,則區域 Ω 可用下列哪一組不等式表示?(A)(B)(C)(D)(E)
6. 坐標平面上有兩個動點 A 與 B,一開始 A 的位置為 (0 , 0),B 的位置為 (6 , 6),接著 A 與 B根據每次投擲硬幣的結果來移動,規則如下:若擲出正面,A 往右移動 1 單位,B 往左移動 1 單位;若擲出反面,A 往上移動 1 單位,B 往下移動 1 單位。今投擲一枚均勻硬幣,A,B 兩點均按投擲此硬幣之結果移動,試求兩點在坐標平面上相遇的機率為何?(A) 0(B)(C)(D)(E)
7. 將 1,2,3,4,5,6 這六個數字排成一個數字不重複的六位數 abcdef,若前三個數字形成的三位數 abc 與後三個數字形成的三位數 def,其相差不小於 200,則這樣的六位數 abcdef共有幾個?(例如:564321(564-321≥ 200)、156432(432-156≥ 200) 均為滿足要求的六位數)(A) 348 個(B) 360 個(C) 372 個(D) 384 個(E) 396 個
8. 設 x,y 為正整數,若 x 為八位數且最高位數字為 4;y 為六位數且最高位數字為 5,請選出正確的選項。(A)可以確定 x+y 為八位數(B)可以確定 x+y 的最高位數字為 4(C)可以確定 xy 為十三位數(D)可以確定 xy 的最高位數字為 2(E)可以確定的整數部分為三位數
9. 如右圖,邊長為 4 的正方形 PQRS 的中心為 O,以 O 為圓心,1 為半徑作圓 C,設 X 為圓 C 上的任意點,Y 為邊的任意點 (包括端點)。考慮向量,請選出正確的選項。
(A) || 的最小可能值為 2-1(B)的最大可能值為 12(C)的最小可能值為 0(D)若 =0,則 | | 的最小可能值為 1(E) =0,則 || 的最大可能值為
10. 已知數列 a,b,c,d 滿足前三項 a,b,c 成等差數列,後三項 b,c,d 成等比數列,且a,b,c,d 為四個相異非零實數,請選出正確的選項。(A)若 a<c,則 b<d(B)若 a+b+c<0,則 d<0(C)若 bcd<0,則 a>0(D) log | b |,log | c |,log | d | 一定是等差數列(E) sin a,sin b,sin c 可能是等比數列
11. 某次數學測驗分為選擇題與非選擇題兩部分,每部分各占 50分,總分為 100 分。右圖為 11 位學生兩部分得分的散布圖,其中 X 表示選擇題的得分,Y 表示非選擇題的得分,但因有2 位同學的兩部分得分均相同,所以散布圖僅有 10 個點 (有2 個點重疊)。已知此次測驗,11 位學生中有 5 人成績不及格(總分未達 60 分),請選出正確敘述的選項。(A) X 的中位數一定大於 Y 的中位數(B) X 的標準差一定大於 Y 的標準差(C) Y 對 X 的最適直線斜率一定大於 1(D)恰有 3 位學生的非選擇題得分低於 30 分(E)本次測驗 11 位學生中數學總分排名第 6 名的學生,其選擇題得分高於 35 分
12. 右圖的皇冠圖案,是由兩個全等三角形△BCD 與△BCE及一個等腰三角形△ABC,將共同邊重疊而成。已知 =1, ,∠BAC=36°,∠DBC=108°。設 F、G、H 分別為與的交點,請選出正確的選項。(A)=1(B) =sin 18°(C)=4 sin218°(D)=2 sin 18°(E)
18. 若 M 為的中點,試問圓形保護區的半徑為何?(單選題,3 分)(A) 20 公尺(B) 22 公尺(C) 24 公尺(D) 26 公尺(E) 28 公尺
13. 多項式(x5-3x4-2x3+7x2-x-5)(x2-4x+4)+x3 除以 x2-4x+3 的餘式為 。
14. 某遊戲共有 60 位玩家參與,遊戲結束時,電腦程式會依據玩家於遊戲中的表現給予計分。已知程式設定 60 位玩家中有 10 位可獲得 20 分,9 位可獲得 21 分,8 位可獲得 22 分,以此類推,k 位玩家可獲得 210-k 分(1 ≤ k ≤ 10,k 為正整數),其餘未獲得分數的玩家則以 0 分計算。試問遊戲結束時,系統給予這 60 位玩家得分的第 75 百分位數為分。
15. 經統計分析,某路段上的車流量 y (十輛/小時) 與車流密度 x (十輛/公里) 滿足關係式:y=-10x2+50x,其中 0 ≤ x ≤ 5。已知當車流密度 1 ≤ x ≤m 時 (m≤ 5),車流量的最大值為625 輛/小時,最小值為 400 輛/小時,則 m 值的最大可能範圍為 。(化為最簡分數)
16. 將數線上區間 [0 , 1] 形成的線段 (如圖 (一)) 圍成一個圓,使兩端點 A,B 恰好重合 (如圖(二)),再將此圓放置於坐標平面上,使其圓心在 y 軸上,點 A 的坐標為 (0 , 1) (如圖 (三))。已知區間 [0 , 1] 內一點 M,對應的實數為 ,圖 (三)中連接直線交 x 軸於 N 點,試求 N點坐標為(化為最簡根式)
17. 某遊樂園舉辦暑期票價優惠活動,每位入園的遊客從園方準備好的箱中 (箱中有大小相同的 3 顆紅球與 3 顆白球,共 6 顆球) 連續抽取 6 次,每次取一球,取後不放回,若抽取過程中紅球不連續出現,則可以半價購買門票入園;若抽取過程中連續出現 2 次紅球,則停止取球,但亦可以八折價格購買門票入園。已知遊樂園的原票價如右表,今小明一家四口欲購買兩張成人票、一張學生票及一張孩童票,則這四張票總價的期望值為元。
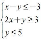
19. 試求新橋的長為多少公尺?(非選擇題,5 分)
20. 政府單位要求承包商的設計規劃中,再加入一個條件:● 古橋兩端 O、A 到圓形保護區的邊界上任意點的距離,均不少於 15 公尺。試問當長為多少公尺時,圓形保護區的面積有最大值?(非選擇題,7 分)