所屬科目:時序分析
(五)請證明 a (t)*b(t) = a (-t ) b(t) 。(5 分)
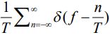
(一)一時間域的取樣函數(sampling function)為一連續脈衝函數的組合, 表示為 x(t) =, 為取樣時間,n為整數,請證明其傅立葉轉換後為 X(f)=。(10 分)