阿摩線上測驗 登入

申論題資訊

試卷:113年 - 113 高等考試_三級_地震測報:時序分析#121521
科目:時序分析
年份:113年
排序:0

題組內容

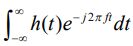
一、若時間序列 h(t)的傅立葉轉換(Fourier Transform)為 H ( f ) =6690c20aa180a.jpg, 其中 t 是時間,f 是頻率,j 是虛數(=6690c21f36b32.jpg),請回答下列問題:

申論題內容

(一)請寫出其逆傅立葉轉換(Inverse Fourier Transform)的型式。(3 分)