所屬科目:泉勝◆基本電學(下冊)
1.電感器或電容器將電源能量在一週內進行轉移,而沒有任何能量的消耗,稱為虛功率。(A)O(B)X
2.虛功率 (imaginary power)又稱為無效功率 (ineffective power) 或電抗功率 (reactive power),符號為 Q,單位為乏爾 (VAR)。(A)O(B)X
3.虛功率的數學式為:Q=VIsinθ,單位是乏爾,單位符號是 VAR,其中 θ 為電壓與電流之夾角 θ = 。(A)O(B)X
4.純電阻電路的虛功率為 0。(A)O(B)X
5.電路中有電感器時,大小可計算如下: 。(A)O(B)X
6.電路中有電容器時, 大小可計算如下: 。(A)O(B)X
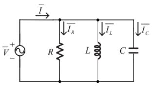
7.交流電路為 RLC 串聯或 RLC 並聯時,虛功率為電感器與電容器的相量相加,相量式為: 。(A)O(B)X
8.某一交流串聯 RLC 電路,電感虛功率是 6VAR,電容虛功率是 4VAR,則總虛功率是 10VAR。(A)O(B)X
9.某一交流並聯 RLC 電路,電感虛功率是 6VAR,電容虛功率是 4VAR,則總虛功率是 10VAR。(A)O(B)X
10.視在功率S、平均功率P、虛功率Q的大小,可以使用直角三角形,如圖10-4c,表現其
關係如下:
S=VI-(伏安,VA)
P=VI cos0(瓦特,W)
Q=VI sin6(乏爾,VAR)
以上稱為功率三角形(power triangle)。
(A)O(B)X
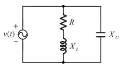
1.如下圖所示,v(t) = 100√2sin(1000t +300 )V,試計算虛功率 Q 為多少 VAR?
(A)120(B)240(C)320(D)768
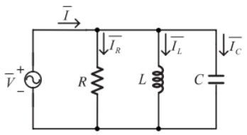
2.交流 RL 並聯電路,R = 16Ω、L = 30mH、電路電流 i(t) = 10√2sin(400t-600 )A,試計算虛功率 Q 為多少 VAR?(A)120(B)240(C)320(D)768
3.有一交流電源 v(t) =100√2 sin(377t–100 )V 供應某負載,若負載電流 i(t)=10√2sin(377t +500 )A,則 此負載的平均功率 P 及虛功率 Q 分別為何?(統測 108) (A) P = l000W,Q = 500VAR ( 電感性) (B) P = l000W,Q = 866VAR ( 電感性) (C) P =500W,Q = 500VAR ( 電容性) (D) P =500W,Q = 866VAR ( 電容性)
4.有一 RLC 串聯交流電路,其電壓 = 10∠00V,R=8Ω,=6Ω,=12Ω,試求電路的平均功率 P 為多少 W?(A)2(B)4(C)6(D)8
5.有一 RLC 串聯交流電路,其電壓 = 10∠00V,R=8Ω,=6Ω,=12Ω,試求電路的虛功率 Q 為 多少 VAR?(A)2(B)4(C)6(D)8
6.如圖所示之 RLC 串聯電路,若 v(t)=20√2sin(1000t)V、R = 5Ω、L = 5mH、C=50μF,試求:平均功 率 P 為多少 W?
(A)40(B)60(C)80(D)100
7.如圖所示之 RLC 串聯電路,若 v(t)=20√2sin(1000t)V、R = 5Ω、L = 5mH、C=50μF,試求:虛功率 Q 為多少 VAR?
8.如圖所示之 RLC 串聯電路,若 v(t)=20√2sin(1000t)V、R = 5Ω、L = 5mH、C=50μF,試求:視在功 率 S 為多少 VA?
9.如右圖所示之RLC負載電路,若v(r)=100/2 sin(37t)V,負載R=6Ω,=8Ω,-5Ω,則負載的平均功率P與虚功率分别為何? 統測108
(A)P=600W,Q=1200VAR(電容性)
(B)P=866W,Q=1600VAR(電容性)
(C)P=600W,Q=600VAR(電感性)
(D)P=866W,Q=866VAR(電感性)
10.單相負載的電壓降=200-/2sin(377t)V,負載電流=10sin(377t-300)A,此負載之平均功率PL及虛功率Q[分別為何? 統測103
(A)=1000√2 cos30° W,=1000√2 30° sin VAR(B)=1000cos60°W ,=1000sin 60° VAR
(C)=1000√2cos60°W ,=1000 √2 sin60°VAR(D)=2000/2 cos30°W,=2000√2 sin30°VAR