所屬科目:泉勝◆基本電學(下冊)
1.RLC 串聯與並聯諧振頻頻率都是。(A)O(B)X
2.RLC 並聯諧振頻時,電流達最大。I0=V/R。(A)O(B)X
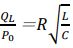
3.RLC 並聯諧振頻時,Q=,功率共有 3 種計算方式,分別是 I2R、IV 與 V2/R,因為並聯時,電壓都相同,。(A)O(B)X
4.RLC 並聯諧振頻時,Q=。(A)O(B)X
5.RLC 並聯諧振頻時,。(A)O(B)X
6.RLC 並聯諧振頻時,。(A)O(B)X
7.RLC 並聯諧振頻時,頻寬 BW 與串聯相同,都是 BW=f0/Q。(A)O(B)X
8.RLC 並聯諧振頻時,頻寬 BW 與 R、C 關係是 BW=。(A)O(B)X
9.RLC 並聯諧振頻時,上下截止電流是 I=。(A)O(B)X
10.RLC 並聯諧振頻時,上下截止頻率,和串聯相同,都是。(A)O(B)X
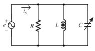
1.並聯諧振電路如圖,=2V(rms),頻率可調整之正弦波。請問諧振頻率為多少 Hz?(A)15.9k(B)1.59k(C)3M(D)300
2.並聯諧振電路如圖,=2V(rms),頻率可調整之正弦波。請問諧振電流為多少 mA?(A)1(B)2 (C)3(D)4
3.並聯諧振電路如圖,=2V(rms),頻率可調整之正弦波。請問諧振時,Q 為多少?(A)1(B)2 (C)6(D)10
4.並聯諧振電路如圖,=2V(rms),頻率可調整之正弦波。請問諧振時,為多少 mA?(A)10(B)12(C)16(D)20
5.並聯諧振電路如圖,=2V(rms),頻率可調整之正弦波。請問諧振時,IC 為多少 mA?(A)10(B)12(C)16(D)20
6.並聯諧振電路如圖,=2V(rms),頻率可調整之正弦波。請問諧振時,BW 為多少 Hz?(A)15.9k (B)1.59k(C)3M(D)300
7.並聯諧振電路如圖,=2V(rms),頻率可調整之正弦波。請問諧振時,上截止電流為 mA?(A)1 (B)2(C)2.8(D)3.9
8.並聯諧振電路如圖,=2V(rms),頻率可調整之正弦波。請問諧振時,上截止頻率為多少 kHz?(A)16.7(B)15.9(C)15.1(D)3.9
9.有效值 100V 之交流正弦波電源,若調整其電源頻率使流入一 RLC 並聯電路的總電流為最小, 其中 R = 50Ω,L = 40mH,C = 100µF,則下列敘述何者正確?(統測 106) (A) 電源頻率為 80kHz (B) 流經電感之電流為 2A (C) 流經電容之電流為 1A (D) 總消耗功率為 200W
10.如右圖所示之電路,e(t)=100sin(377t)V,調整電容C使電路產生諧振,若電阻R=10Ω,則電流為何? 統測103 (A) 100sin(377t)A (B) 10sin(377t -900 )A (C) 10sin(377t)A (D) 0A
11.有一 LC 並聯電路,若電源電壓 V = 100V、C = 40μF,當電源角頻率為 5000 rad / s 時電路諧振,則 下列敘述何者正確?(統測 105) (A) 電感 L = 10mH,諧振時電源電流為零 (B) 電感 L = 1mH,諧振時電源電流為零 (C) 電感 L = 10mH,諧振時電源電流為無限大 (D) 電感 L = 1mH,諧振時電源電流為無限大