所屬科目:結構學概要與鋼筋混擬土學概要
一、如圖所示桁架結構,a 點為鉸支承,c 點為滾支承。求各支承反力及 ac 桿件、 bc 桿件的軸力。(25 分)
二、如圖所示剛架結構, a 點為滾支承, c 點為鉸支承。求各支承反力、 b 點斷面彎矩及畫 ab 桿件彎矩圖。
三、如下圖所示混凝土矩形梁,梁寬 b=30 cm ,有效深度 d=39 cm ,混凝土抗壓強度 f'c= 280 kgf/cm2,剪力鋼筋採用 D13 垂直肋筋,間距 s= 15 cm,一根 D13 鋼筋面積為1.267 cm2,降伏強度 fy=2800 kgf/cm2 。求矩形斷面之剪力計算強度 Vn,並說明規範規定剪力鋼筋之剪力計算強度Vs≤ 2.12bd 的理由。(25 分)(提示:Vc = 0.53bd 、Vs=Asvfy )
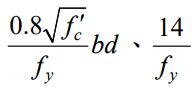
四、受撓曲作用之矩形斷面鋼筋混凝土梁 , 梁 寬 b= 32 cm ,有效深度d = 44 cm , 混凝土抗壓強度 f'c= 280 kgf/cm2,鋼筋降伏強度fy = 4200 kgf/ cm2,斷面承受靜載重彎矩 MD=9 tf -m 及活載重彎矩ML=12.5 tf -m。求此斷面設計彎矩 M u 及規範規定之最少鋼筋量。(25分)(提示:U=1.2 D+1.6 L ;bd 取大值)