阿摩線上測驗 登入

申論題資訊

試卷:114年 - 114 專技高考_專利師(選試專業英文及物理化學)、專利師(選試專業日文及物理化學):物理化學#130114
科目:物理化學
年份:114年
排序:0

題組內容

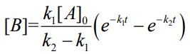
六、一階連續反應 ,A 之初濃度[A]0=1.0 mol dm-3 ,速率常數k1= 5 s -1 、 k2 =2s-1 ,且 B 濃度與時間(t)之關係為

申論題內容

(一)計算 B 之最大濃度(5 分)及達到該濃度所需時間。(5 分)