所屬科目:農業機電整合與控制工程研究
一、假設一永磁直流有刷馬達的電樞(armature)電阻值為 0.5 Ω,當電樞的輸入電壓為 120 V 且轉子已達穩態轉速 1200 rpm 時,電樞的電流為 40 A, 若忽略機械的摩擦力與黏滯阻力,請問此時馬達的輸入功率,電樞的損 失功率與所產生的扭力。
二、請設計一個主動式的低通濾波器電路當中的 R1 , , R, C(如下所示) ,使 其直流增益(DC gain)為 1000 倍,截止頻率(cutoff frequency)為 1 Hz。
三、一個控制系統如下圖所示:請設計控制器中的 K 的值,使得當參考命令為單位步階命令時的響應,符合上升時間(rising time)小於 0.1 sec,且無超越量(overshoot) 。
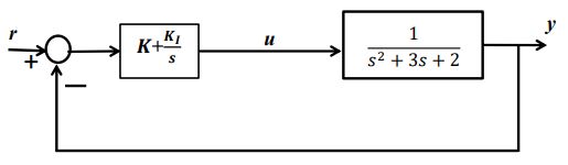
四、一個控制系統如下圖所示,請求出的範圍,使得所設計的 PI 迴授 控制器可以使整個系統滿足漸近穩定(asymptotically stable)。