阿摩線上測驗
登入
首頁
>
作業研究
> 93年 - 93-2 中國工業工程學會證照考試_工業工程師:作業研究#18418
93年 - 93-2 中國工業工程學會證照考試_工業工程師:作業研究#18418
科目:
作業研究 |
年份:
93年 |
選擇題數:
10 |
申論題數:
5
試卷資訊
所屬科目:
作業研究
選擇題 (10)
1. 探討作業研究(operations research)這一門科學的起源問題時,一般都認為是發生在: (A) 一次大戰前; (B) 工業革命時; (C) 二次大戰時; (D) 十九世紀中葉。
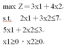
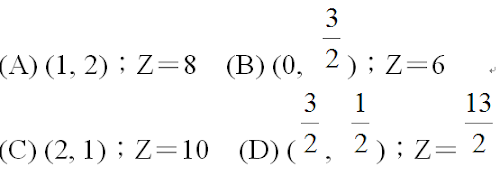
2. 線性規劃模式如下:
請問該線性規劃模式之最佳解(x1,x2 )及最大值Z分別為何
3. 線性規劃問題的決策變數可為整數或非整數,此為線性規劃四個重要假設中的 (A) 確定性 (certainty) (B) 比例性 (proportionality) (C) 可加性 (additivity) (D) 可分性 (divisibility)。
4. 線性規劃的圖形求解法適用於 (A) 1個 (B) 2個 (C) 3個 (D) 3個以上 變數之模式。
5. 線性規劃問題有n個決策變數,m (>n)個限制式(均為不等式)。若最佳解是退化解,則無作用限制式(inactive constraint)的個數為 (A) m-n (B) 最多m-n (C) 至少m-n (D) m。
6. 某線性規劃的原始問題,其限制式右邊的常數向量為b,目標函數之係數向量為c,第i個限制式為”=”,有m列限制式,n個決策變數,請問轉成對偶問題時,下列何者正確:(A) 該對偶問題仍為m列限制式,n個決策變數 (B) 該對偶問題的第yi對偶變數 0 (C) 該對偶問題的第yi對偶變數無限制符(unrestricted) (D) 該對偶問題的目標函數為c,限制式右邊的常數向量為b。
7. 在運輸問題中,下列敘述何者「有誤」?(A) 需求量可能小於供給量 (B) 可能有退化解 (C) 可能不會只有一個最佳解 (D) 可能不會有目標值極大化問題。
8. 如果我們要解一個整數規劃的問題,使用哪一個方法較為適當?(A) 微積分 (B) 簡單法(simplex method) (C) 列舉法 (D) 分支界限法(Branch-and-Bound)。
9. 有關最大流量 (maximal flow) 問題,下列何者敘述有誤:(A) 有唯一的起始節點與唯一的終止節點 (B) 除了起始節點與終止節點外其餘節點的流量守恒 (即流出量等於流入量) (C) 通常網路上各弧上數字代表流量的上限,若弧上數字的一邊為正值而一邊為零代表此弧僅允許單向流通 (D) 最大流量的求解步驟中當找到一條路徑後,需將此路徑中所有與路徑方向相同及相反的弧上數字均減去該路徑中具最小剩餘流量之弧上數字。
10. 如果我們要解一個整數規劃的問題,使用哪一個方法較為適當?(A) 微積分 (B) 簡單法(simplex method) (C) 列舉法 (D) 分支界限法(Branch-and-Bound)。
申論題 (5)
1. 方陣A存在反矩陣之充要條件為 (1) , 之反矩陣為 (2) 。
【已刪除】2. 考慮下列問題
試求對偶問題的最佳解 (3) ;當a值為 (4) 時,此對偶問題無可行解。
【已刪除】 3. 假設有一運輸問題其運輸成本、供應量及需求量如下表﹕
若以西北角法求取初始之基本可行解,則運輸總成本為 (5) ,若應用修正分配 (MODI)法,求取該初始解一個步驟之改進解,則運輸總成本為 (6) 。
【已刪除】4. 茲給予下列之最短路徑問題(shortest route problem),其中 x
ij
表示由節點 i至節點j 的通行狀況,請問該網路圖中共有 (7) 節點,共有 (8) 路線。
5. 在決策理論中,一個典型的問題就是賣報問題,茲敘述如下。一位賣報人以$6的成本買一份報紙而可賣$7.5。若當日沒賣出去,則沒有任何價值。這位賣報人知道他每天可賣出6到10份報紙,賣出6到10份的機率均為1/5。若採極大極小(maximin)準則,這位賣報人應買幾份報紙來賣__(9)__;若採極小極大遺憾(minimax regret)準則,他應買幾份報紙__(10) __。(註:若有一個以上答案,均須寫出。)
相關試卷
114年 - 114 地方政府公務特種考試_三等_工業工程:作業研究#134713
114年 · #134713
114年 - 114 專技高考_工業工程技師:作業研究#133680
114年 · #133680
114年 - 114 高等考試_三級_工業工程:作業研究#128750
114年 · #128750
113年 - 113 地方政府公務特種考試_三等_工業工程:作業研究#124521
113年 · #124521
113年 - 113 專技高考_工業工程技師:作業研究#123885
113年 · #123885
113年 - 113 高等考試_三級_工業工程:作業研究#121489
113年 · #121489
112年 - 112 地方政府特種考試_三等_工業工程:作業研究#118325
112年 · #118325
112年 - 112 專技高考_工業工程技師:作業研究#117594
112年 · #117594
112年 - 112 公務升官等考試_薦任_工業工程:作業研究#117328
112年 · #117328
112年 - 112 高等考試_三級_工業工程:作業研究#115450
112年 · #115450