阿摩線上測驗
登入
首頁
>
技師◆空氣動力學
> 95年 - 95 專技高考_航空工程技師:空氣動力學#38287
95年 - 95 專技高考_航空工程技師:空氣動力學#38287
科目:
技師◆空氣動力學 |
年份:
95年 |
選擇題數:
0 |
申論題數:
10
試卷資訊
所屬科目:
技師◆空氣動力學
選擇題 (0)
申論題 (10)
⑴何謂飛機的真實空速(True Air Speed)?(5 分)
⑵承上題,一般飛機的真實空速都以何種方式量得?(10 分)
⑶承⑵題,試討論其使用原理與限制為何?(10 分)
⑴在海平面飛行時(ρ=1.225 kg/m
3
)(10 分)
⑵在高度 3 km 時(ρ=0.909 kg/m
3
)(10 分)
⑶又,為何上述兩種情況所獲得之阻力不同?(5 分)
⑴考慮一個以超音速飛行之機翼,請討論其所產生的阻力有那些?(10 分)
⑵承上題,若此機翼作低次音速飛行時,則產生的阻力又為何?(5 分)
⑶請解釋何謂 Kutta Condition?(10 分)
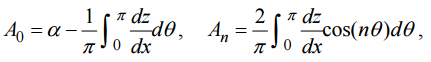
【已刪除】四、給定一個翼剖面(airfoil),其平均翼弧線(mean camber line)可用拋物線方程式 表示為
,其中 c 為翼弦長(chord length),而z
m
為翼弧在翼弦中 央的最大高度。請利用薄翼理論計算以下係數C
l
, C
m,AC
及C
m,LE
。(25 分)
,
相關試卷
109年 - 109 專技高考_航空工程技師:空氣動力學#93305
109年 · #93305
107年 - 107 專技高考_航空工程技師:空氣動力學#72909
107年 · #72909
107年 - 107 民航特種考試_三等_航務管理:空氣動力學#71937
107年 · #71937
106年 - 106 民航特種考試_三等_航務管理:空氣動力學#64721
106年 · #64721
105年 - 105 民航特種考試_三等_航務管理:空氣動力學#56464
105年 · #56464
104年 - 104 民航特種考試_三等_航務管理:空氣動力學#41329
104年 · #41329
103年 - 103 民航特種考試_三等_航務管理:空氣動力學#25347
103年 · #25347
103年 - 103 專技高考_航空工程技師:空氣動力學#25346
103年 · #25346
102年 - 102 民航特種考試_三等_航務管理:空氣動力學#26067
102年 · #26067
101年 - 101 專技高考_航空工程技師:空氣動力學#26690
101年 · #26690