阿摩線上測驗
登入
首頁
>
數位信號處理
> 96年 - 96 專利商標審查特種考試_三等_電信工程:數位信號處理#50535
96年 - 96 專利商標審查特種考試_三等_電信工程:數位信號處理#50535
科目:
數位信號處理 |
年份:
96年 |
選擇題數:
0 |
申論題數:
10
試卷資訊
所屬科目:
數位信號處理
選擇題 (0)
申論題 (10)
⑴請輔以數學方程式解釋下列離散時間系統:(10 分) 1線性系統(LINEAR SYSTEM) 2非時變系統(TIME-INVARIANT SYSTEM) 3因果系統(CAUSAL SYSTEM) 4可逆系統(INVERTIBLE SYSTEM)
【已刪除】 ⑵有一數位濾波器(DIGITAL FILTER)
試求此數位濾波器之脈衝響應(IMPULSE RESPONSE)及頻率響應(FREQUENCY RESPONSE)?(10 分)
二、有一 6 點實數取樣資料序列 x (n ) = {1, 1, 2, 2, 3, 3} ,試計算其相對應之「離散傅立葉 轉換」(DISCRETE FOURIER TRANSFORM, DFT)X(k),並計算 X(k)所對應之振 幅(AMPLITUDE)及相位(PHASE)。(20 分)
⑴請以方塊圖說明如何將類比訊號(ANALOG SIGNAL)轉換成數位訊號(DIGITAL SIGNAL)的程序?(5 分)
⑵若有一類比訊號 xa (t ) = 3 cos 50πt + 10 sin 300 πt − cos100 πt ,則此訊號之奈奎斯特取 樣頻率(NYQUIST RATE)為何?(5 分)
⑶考 慮 一 連 續 時 間 弦 波 訊 號 ( SINUSOIDAL SIGNAL) x
a
(t ) = cos( 2πf
0
t ) , 其 中 f
0
=10 kHz 1請繪出此訊號之頻譜圖。(3 分) 2請繪出此訊號經取樣頻率為 34 kHz 取樣後之頻譜圖。(3 分) 3請繪出此訊號經取樣頻率為 12 kHz 取樣後之頻譜圖。(4 分)
【已刪除】⑴有一離散時間訊號為
,請以圖示 x[n] 及 x[2n+3]。(5 分)
【已刪除】 ⑵若 一 差 分 方 程 式 為
, 其 中 輸 入
且 初 始 值 y [-1]=8,試求其完全解?(15 分)
【已刪除】⑴試計算 x
1
( n ) 與 x
2
(n ) 之迴旋(CONVOLUTION) x (n ) 。(10 分) 其中 x
1
( n ) = {3, − 1, 2} , x 2 (n ) =
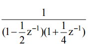
【已刪除】 ⑵若 x(n)之 Z 轉換為 X(z),且 X(z) =
,利用迴旋求出 X(z)之逆 轉換(INVERSE Z-TRANSFORM)x(n) =?(10 分)
相關試卷
102年 - 102 專利商標審查特種考試_三等_電信工程:數位信號處理#44424
102年 · #44424
101年 - 101 專利商標審查特種考試_二等_電信工程:數位信號處理#44823
101年 · #44823
99年 - 99 專利商標審查特種考試_二等_電信工程:數位信號處理#47001
99年 · #47001