阿摩線上測驗
登入
首頁
>
數位信號處理
> 99年 - 99 專利商標審查特種考試_二等_電信工程:數位信號處理#47001
99年 - 99 專利商標審查特種考試_二等_電信工程:數位信號處理#47001
科目:
數位信號處理 |
年份:
99年 |
選擇題數:
0 |
申論題數:
5
試卷資訊
所屬科目:
數位信號處理
選擇題 (0)
申論題 (5)
⑴
⑵
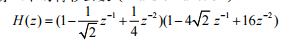
二、已知一個線性非時變(Linear Time-Invariant)系統之脈衝響應(impulse response) 為
。假設其逆系統(inverse system)之脈衝響應表示為 g[n], 2 請找出所有可能的 g[n]。(25 分)
三、假設一個線性非時變(Linear Time-Invariant)系統的輸出 y[n]與輸入 x[n]滿足以下 方程式:
。請找出此系統之轉移函數( Transfer 6 6 function)H(z),以及脈衝響應(Impulse response)h[n],並且畫出它的極點-零點圖 (Pole-Zero plot)。(25 分)
四、假 設 一 個 穩 定 ( stable ) 且 具 因 果 關 係 ( causal ) 的 線 性 非 時 變 ( Linear Time- Invariant)系統具有以下的轉移函數(Transfer function)
請找出一個 causal stable 線性非時變系統的轉移函數 G(z) ,滿足以下關係式: |H(e
jω
).G(e
jω
)|=1。(25 分)
相關試卷
102年 - 102 專利商標審查特種考試_三等_電信工程:數位信號處理#44424
102年 · #44424
101年 - 101 專利商標審查特種考試_二等_電信工程:數位信號處理#44823
101年 · #44823
96年 - 96 專利商標審查特種考試_三等_電信工程:數位信號處理#50535
96年 · #50535