阿摩線上測驗
登入
首頁
>
電磁學與電磁波
> 97年 - 97 專技高考_電子工程技師:電磁學與電磁波#36331
97年 - 97 專技高考_電子工程技師:電磁學與電磁波#36331
科目:
電磁學與電磁波 |
年份:
97年 |
選擇題數:
0 |
申論題數:
11
試卷資訊
所屬科目:
電磁學與電磁波
選擇題 (0)
申論題 (11)
【已刪除】一、令電位為 V(x ,y , z) =-1/ r
2
(V) , r≠0 ,其中
是到原點的距離,求 位於直角座標(1,1,0)之電場強度
。(10 分)
【已刪除】二、二導體位於同心球面r =1/ 2及r =1 (m) 處,其電位分別為± 25 V ,其間材質之介 電常數為 2.5 且無淨電荷,求在r = 3/ 4 (m) 之電通密度
。(10 分)
【已刪除】⑴求產生於(x, y,z)之磁通密度
。(10 分)
⑵一位於 xz平面正方形導線之相對頂點為(a,0,0)及(2a,0,a),其迴圈電流 I
2
於靠近 z軸一邊與 I
1
同向,若 I
2
= I
1
,求此正方形所受磁力大小及方向。(10 分)
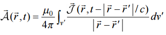
【已刪除】四、時變磁位可表成
,其中
為電流密度,c為光速。 若
隨時間呈角頻率為ω之弦波變化,其相量(phasor)為
,推導出磁位相量
以
表示之公式。(10 分)
【已刪除】五、自由空間中磁場為
,求β 。 (10 分)
⑴負載在史密斯圖的橫座標及縱座標為何?(5 分)
⑵當頻率為 100 MHz 時,假若在負載之前最短距離 d,輸入阻抗有最小值Z
min
,求 d 及Z
min
。(10 分)
⑶負載阻抗之大小為何?(5 分)
七、一空氣圓形波導之半徑為 b,其中心軸為 z-axis,求其 TEM 模態解,或證明 TEM 模態解不存在。(10 分)
【已刪除】八、一天線之輻射磁場為
,其中 I 是饋入電流,
是長度,β 是 波數,λ 是波長,r 是與原點距離,求其在 E 平面之半功率波束寬。(10 分)
相關試卷
114年 - 114 專技高考_電子工程技師:電磁學與電磁波#133706
114年 · #133706
113年 - 113 專技高考_電子工程技師:電磁學與電磁波#123977
113年 · #123977
112年 - 112 專技高考_電子工程技師:電磁學與電磁波#117670
112年 · #117670
111年 - 111 專技高考_電子工程技師:電磁學與電磁波#111953
111年 · #111953
110年 - 110 專技高考_電子工程技師:電磁學與電磁波#104065
110年 · #104065
109年 - 109 專技高考_電子工程技師:電磁學與電磁波#93139
109年 · #93139
108年 - 108 專技高考_電子工程技師:電磁學與電磁波#80692
108年 · #80692
107年 - 107 專技高考_電子工程技師:電磁學與電磁波#73009
107年 · #73009
106年 - 106 專技高考_電子工程技師:電磁學與電磁波#66514
106年 · #66514
104年 - 104 專技高考_電子工程技師:電磁學與電磁波#41840
104年 · #41840