所屬科目:電磁學與電磁波
(一)請寫出傳輸線上電壓 V(z)與電流 I(z)的數學表達式,以及負載端(z = L)的電壓與電流數學表達式。(6 分)
(二)若負載阻抗 ZL = ∞(即開路),求負載端的電壓波反射係數和輸入端(z = 0)的輸入阻抗 Zin。(6 分)
(三)證明在(二)情況下,輸入阻抗 Zin 與傳輸線長度 L 之間滿足Zin =- jZ0 cot(βL ) 的關係式。(6 分)
(四)解釋(三)中關係式的物理意義。(7 分)
(一)請利用馬克斯威爾方程組(如以下提示)推導電磁波電場在自由空間中的波動方程式。(10 分)
(二)在一維平面波的假設,亦即 Ex( z, t ) ,請化簡(一)中的波動方程式。(5 分)
(三)驗證函數 Ex ( pt-qz ) 是(二)中波動方程式的解,只要兩個參數的比值滿足某一特定關係式(亦即波速),並求出波速的數學表示式。(10 分)〔提示〕:・馬克斯威爾方程組:・向量恆等式:
(一)一段長度 L 且載有穩定電流 I 的導線,假設該導線置於均勻磁場中,已知導線上微量長度 dl 所受的微量磁力可表示如下:請推導出導線所受的總磁力數學式。(3 分)
(二)如圖一所示,一個邊長為 L 的正方形電流迴路(電流為 I)置於均勻磁場中。請計算左、右兩段導線()所受的磁力,並證明其大小相等且方向相反。(8 分)
(三)繼續子題(二),請計算上、下兩段導線()所受的磁力,再計算這四段導線所受磁力的合力與合力矩。(14 分)〔提示〕:力矩的公式
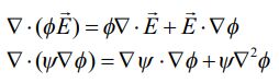
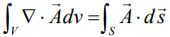
四、考慮純量場 G=∇• (Φ ) ,其中Φ是任意可微分之純量場,且∇2Φ=0(稱Φ為調和函數);又是靜電場,滿足 ∇✖=0 。假設某一區域 V 是邊長為 a 的立方體,該立方體的邊界外表面為 S,且假設邊界S上電位φ為零,請計算純量場 G 在區域 V 的體積分值Gdv。(25 分)〔說明〕:必須利用以下散度定理和電磁學基本定律等進行推導與計算,否則不予計分。・散度定理:・電場與電位的關係: = -∇φ・靜電場滿足高斯定律: ∇ • = =0 (設區域 V 內無電荷)・向量恆等式: