阿摩線上測驗
登入
首頁
>
國營事業◆自動控制
> 98年 - 98 臺灣菸酒股份有限公司_新進從業人員甄試_3職等_機械工程人員:自動控制#38049
98年 - 98 臺灣菸酒股份有限公司_新進從業人員甄試_3職等_機械工程人員:自動控制#38049
科目:
國營事業◆自動控制 |
年份:
98年 |
選擇題數:
0 |
申論題數:
5
試卷資訊
所屬科目:
國營事業◆自動控制
選擇題 (0)
申論題 (5)
【已刪除】一: 在【圖一】的單位負回授(unity negative feedback)控制系統中,若
, (a)試求此系統的阻尼比(damping ratio)【8 分】 (b)試求此系統的直流增益【9 分】 (c)當輸入信號 r(t)為單位步階信號時,此系統輸出信號 c(t)之最大值可達若干?【8 分】
【已刪除】二: 在題目一【圖一】的系統中,若
,其中 K>0,請列出算式說明: 若希望此系統之步階暫態響應衰減到穩態值的速度比 e
−t
還快,則 K 值的範圍應為若干? 【25 分】【提示:可應用相對穏定度的概念解題 :可應用相對穏定度的概念解題】
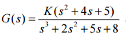
【已刪除】(a)在下述初值為零的線性非時變(LTI)系統中,其特性根(characteristic poles)為何?【12 分】
(b)若在此系統之輸入端輸入一單位步階(unit step)信號,則其輸出響應 y(t)之穩態誤差為若 干?【13 分】
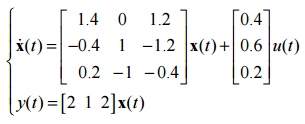
【已刪除】四: 請說明在下述線性非時變系統中,能否以線性狀態回授(linear state feedback)將閉迴路 的根任意移動到所希望的位置上。【25 分】