阿摩線上測驗
登入
首頁
>
輸送現象與單元操作
> 99年 - 99 專技高考_化學工程技師:輸送現象與單元操作#27636
99年 - 99 專技高考_化學工程技師:輸送現象與單元操作#27636
科目:
輸送現象與單元操作 |
年份:
99年 |
選擇題數:
0 |
申論題數:
7
試卷資訊
所屬科目:
輸送現象與單元操作
選擇題 (0)
申論題 (7)
⑴請依此式先推導出平均速度為何?(10 分)
【已刪除】⑵接著請再推導摩擦係數(f)與雷諾數(Re)之關係為 f =
,推導過程應書明所有 假設。(10 分)
(r
o
:圓管半徑;L:管長;ΔP:壓降;μ:液體黏度)
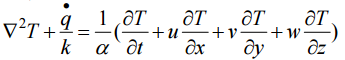
【已刪除】二、請以能量守恆觀念導證“能量公式"(energy equation)如下,並應書明所有假設: (25 分)
其中 u、v、w 分別為 x、y、z 方向之流體速度,T 為溫度,t 為時間,k 為熱傳導係 數, • q為單位體積熱產生速率, ∇
2
及α 請說明定義。
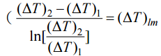
【已刪除】三、請導證“同向流式、雙套管熱交換器"(parallel flow double-pipe heat exchanger), 其整體熱交換速率(q)可藉“對數平均溫差"((ΔT )
lm
)表示如下:(25 分)
,其中(ΔT)
1
與(ΔT)
2
分別為熱交換器入口與出口處溫差, U 為整體熱傳係數,A 為熱傳面積)
⑴請以相對揮發度(relative volatility)為 2,繪製雙成分蒸餾所需之氣液平衡關係 圖(x-y chart)。(10 分)
⑵請利用上題氣液平衡關係圖(x-y chart)及圖解法求得當系統為完全迴流(total reflux)時,且塔頂產物莫耳分率為 0.95、塔底產物莫耳分率為 0.05,所需之理 想板數?(10 分)
⑶若進料濃度莫耳分率為 0.5,處於沸點狀態,且塔頂產物莫耳分率為 0.95、塔底 產物莫耳分率為 0.05 時,請以相同氣液平衡關係圖(x-y chart)圖解最小迴流率 (min. reflux ratio)為何?(10 分)
相關試卷
114年 - 114 專技高考_化學工程技師:輸送現象與單元操作#133702
114年 · #133702
113年 - 113 專技高考_化學工程技師:輸送現象與單元操作#123940
113年 · #123940
112年 - 112 地方政府特種考試_三等_化學工程:輸送現象與單元操作#118358
112年 · #118358
112年 - 112 專技高考_化學工程技師:輸送現象與單元操作#117650
112年 · #117650
112年 - 112 高等考試_三級_化學工程:輸送現象與單元操作#115774
112年 · #115774
111年 - 111 專技高考_化學工程技師:輸送現象與單元操作#111981
111年 · #111981
111年 - 111 高等考試_三級_化學工程:輸送現象與單元操作#109267
111年 · #109267
110年 - 110 地方政府特種考試_三等_化學工程:輸送現象與單元操作#104656
110年 · #104656
110年 - 110 專技高考_化學工程技師:輸送現象與單元操作#104247
110年 · #104247
110年 - 110 高等考試_三級_化學工程:輸送現象與單元操作#102792
110年 · #102792