阿摩線上測驗
登入
首頁
>
國營事業◆自動控制
> 99年 - 99-2 臺灣菸酒股份有限公司從業人員甄試_2職等_電子技術員、電氣技術員:自動控制#38220
99年 - 99-2 臺灣菸酒股份有限公司從業人員甄試_2職等_電子技術員、電氣技術員:自動控制#38220
科目:
國營事業◆自動控制 |
年份:
99年 |
選擇題數:
40 |
申論題數:
0
試卷資訊
所屬科目:
國營事業◆自動控制
選擇題 (40)
1•一具馬達在60Hz,U0V電源供應下,其轉速爲120f/p (單位海分鐘轉速,rpm),其屮f爲供電頻 率,P爲極數,對應60Hz電源,四極馬達轉速被認定爲1800 rpm,這樣的供電驅動系統,可被視爲: (A)開路控制系統 (B)閉路控制系統 (C)定速控制系統 (D)積分控制系統
2.—具)水庫在冷藏室內裝有一個溫度感測裝置,可比較設定之冷藏溫度與量測之溫度値,進行壓縮機 之起停控制,這樣的驅動系統,可被視爲: (A)開路控制系統 (B)閉路控制系統 (C)變頻控制系統 (D)微分控制系統
3 F(s) = L[f(t)]=
此一公式,爲控制系統分析最常使用的轉換分析工具,將時間函 數function)-專換成複變函數(F⑷function),此轉換又被稱爲: (A)拉氏變換(Laplace transform) (B)傅立葉轉換(Fourier transform) (C)Z $專換(Z-transform) (D)以上皆非
4.苦有一常數數値1,經題3公式轉換後,複變函數型式爲: (A) 1/S
2
(B) l/(s-l) (C) 1/s (D) l/(s
2
-l)
5.系統轉移函數有n個極點與m個零點,則Bode Plot Phase在w 時,其相角値爲: (A)-90 x (n-m) (B)-90 x (n+m) (C)-90 x (n x m) (D)-90 x (n / m)
6.苦有一系統響應的穩態振幅値與相角差,繪圖如[圖一],本系統之極零點數□爲:
(A)無零點、有四個極點 (B)無零點、有兩個共扼極點、一個極點 (C)有一個零點、兩個極點 (D)有兩個零點、兩個極點
7.其中,對系統可觀測性(Observability)具決定性的兩個矩陣分別是: (A)A, B (B)A,C (C)B,C (D)A,D
8.承上題,對系統可控制性(Controllability)具決定性的兩個矩陣分別是: (A)A, B (B)A,C (C)B,C (D)A,D
9.依古典理論進行控制器設計,在考慮輸入與輸出間誤差之比例增益Kp以及積分與微分之增益Ki、 Kd,而進行之控制器設計,其轉移函數爲:
(A) Kp + Ki s + Kd/s (B) Kp s
2
+Ki s + Kd (C) Kpk + Ki + Kds (D)以上皆非
10.波德圖所使用的分貝,代表的是系統哪一個特性? (A)反應速度 (B)上升時間 (C)穩態誤差 (D)訊號倍率
11.節能減碳已爲當今國家發展趨勢,從控制觀點而言,下列何種控制法則最適合用於調節各式動力機 具,使其達成節能之□的? (A)微分控制用於改善暫態響應 (B)積分控制降低穩態誤差 (C)On-Off控制用於關閉動力源 (D)Soft start用於馬達緩啓動
12.下歹fj何種穩定的轉移函式對於斜坡(Ramp俩式輸入命令的穩態誤差爲零? (A)型態0 (Type 0) (B)型態一(Type 1) (C)型態二(Type 2) (D)以上皆是
13.針對步階命令,系統輸出由命令的10%改變至90%所需的時間稱爲: (A)加速時間 (B)上升時間 (C)轉移時間 (D)調整時間
14.下列系統的轉移函式爲:
15.第14題中,如果K=1,則系統極點有幾個?(A)一個 (B)二個(C)三個 (D)四個
16第14題中.當K=∞時.回授系統的極點將趨近於:
(A)0 (B)-1 (C)-2 (D)-3
17第14題中.當K=1時.當輸入命令為單位步階函式時.回授系統的穩態誤差將接近於:
(A)1 (B) 0(C)-1 (D)-2
18.閉迴路控制的優點不包括下列何者?
(A)對於擾動訊號的抑制 (B) 降低對系統的輸出變化(C)達成命令所要求的輸出大小 (D)保證沒有輸出超越量
19•下列常兑Laplace 轉換,何者錯誤?
20.有一系統的轉移函式爲
,其阻尼比最接近於: (A)1 (B)0.5(C)0.3(D)0
21•對於第20題屮的系統描述何者錯誤? (A)此系統爲穩定系統 (B)對於單位步階函式輸入命令,系統輸出沒有超越量 (C)系統自然頻率爲10 rad/s (D)對於脈衝型式命令輸入,系統穩態誤差爲0
22.對於下列兩系統特徵函式的穩定性描述,何者正確?
(A)F
1
爲穩定,F
2
爲穩定 (B)F
1
爲不穩定,F
2
爲穩定 (C)F
1
爲穩定,F
2
爲不穩定 (D)F
1
爲不穩定,F
2
爲不穩定
23.下列系統中,爲使系統穩定,K>0,則K的調整限制範圍何者正確?
(A)K<25070 (B)K<27075 (C)K<28875 (D)任何K値皆可
24系統軌跡圖漸近線夾角爲:(A)90度 (B)120度 (C)135度 (D)180度
25 第23題中下列何者不是根軌跡線的起點?(A)-80 (B)-15 (C)-30 (D)以上皆非
26.有一電梯控制系統,苦到達樓M時之高度略低於樓板,可使用PID控制器的何者調整? (A)比例控制 (B)積分控制 (C)微分控制 (D)以上皆非
27.使用PID控制器時的調整,應以何者優先? (A)比例控制 (B)積分控制 (C)微分控制 (D)以上皆可
28.波德圖所使用的相位角,代表的是系統哪一個特性? (A)誤差 (B)延遲 (C)大小 (D)阻尼
29.波德圖的增益曲線,在每一個極點所代表的轉折頻率,其斜率的改變爲: (A) +40dB/decade (B) +20dB/decade (C)-20dB/decade (D) _40dB/decade
30.下歹[J何者可代表相對穩定度? A.阻尼比B.增益餘量(Gain Margin) C.相位餘量(Phase Margin) (A)僅A.B (B)僅A.C (C)僅B.C (D)A.B.C
31.下列系統中,選擇哪一個的設定値不會讓下列系統狀態不可觀察?
(A)-1 (B)3 (A)1 (D)-8
32•下列何者不是自動控制頻域分析的方法或工具? (A)波德圖(Bode Plots) (B)奈奎式圖(Nyquist Diagram) (C)尼可式圖(Nichols Chart) (D)根軌跡圖(Root Loci)
33•對於白動控制的敘述,下列何者正確? (A)開迴路控制系統的優點之一爲提高輸出對控制命令的準確度 (B)擾動訊號是一個控制命令希望改變系統輸出的輸入訊號 (C)使用冋授控制的優點之一爲降低輸出因爲系統參數變化所產生的影響 (D)狀態冋授控制使用系統輸出量測値與命令比較的差異作爲調整的依據
34.苦希望調整PID的控制値以達到調整系統阻尼時,以調整下列何者爲最佳選擇? (A)比例控制 (B)積分控制 (C)微分控制 (D)以上皆可
35.當系統轉移函式的零點全部在複數平面的左半平面時,此系統可視爲: (A)穩定系統 (A)不穩定系統 (C)最小相位系統 (A)最大相位系統
36.下列何種訊號比較不適宜作爲控制系統的輸入測試訊號? (A)脈衝訊號 (A)三角波訊號 (C)步階訊號 (A)弦波訊號
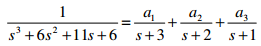
37.下列系統函式可以部分分式法展開
請問下列何組係數正確?
38.當使用主要極點(dominant poles)的觀念分析系統特性,主要極點的實數部分大小最少應小於其他極 點的比例爲: (A) 1/2 (B) 1/5 (C) 1/10 (D) 1/20
39.下列何者不是評估控制系統時域特性的標準? (A)增益餘量(Gain Margin) (B)超越量(Overshoot) (C)穩態誤差(Steady-State Error) (D)安定時問(Settling Time)
40•—個基本的控制系統須包含的功能有下列何者? A驅動B計算C感測
(A)僅A.B (B)僅A.C (C)僅B.C (D)A.B.C
申論題 (0)
相關試卷
113年 - 113 臺灣菸酒股份有限公司_從業職員及從業評價職位人員甄試試題_從業評價職位人員_電子電機:自動控制#133996
113年 · #133996
113年 - 113 臺灣菸酒股份有限公司_從業職員及從業評價職位人員甄試試題_電子電機:自動控制#133977
113年 · #133977
113年 - 113 國營臺灣鐵路股份有限公司_從業人員甄試_第 9 階-技術員-電機:自動控制概要#119067
113年 · #119067
112年 - 112 臺灣菸酒股份有限公司_從業職員及從業評價職位人員甄試_從業職員/機械(中區):自動控制#137443
112年 · #137443
112年 - 112 臺灣菸酒股份有限公司_從業職員及從業評價職位人員甄試試題_電子電機:自動控制#137404
112年 · #137404
112年 - 112 臺灣菸酒股份有限公司_從業職員及從業評價職位人員甄試_從業職員/電子電機:自動控制#118449
112年 · #118449
110年 - 110 臺灣菸酒股份有限公司_從業職員及從業評價職位人員甄試試題_從業職員/機械 :自動控制#111385
110年 · #111385
109年 - 109 桃園國際機場股份有限公司_新進從業人員招募甄選_工程-機械-技術員:自動控制#90579
109年 · #90579
109年 - 109 臺灣菸酒股份有限公司_從業職員及從業評價職位人員甄試_從業職員-電子電機、電機工程學程:自動控制#89252
109年 · #89252
109年 - 109 臺灣菸酒股份有限公司_從業職員及從業評價職位人員甄試_從業職員-機械::自動控制#89103
109年 · #89103