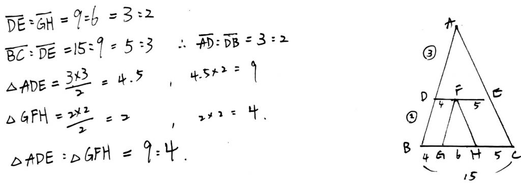
24. 如圖 ( 十四 ),△ ABC、△ FGH 中, D、E 兩點分別在 AB、 AC 上, F 點 在 DE 上,G、H 兩點在 BC 上,且 DE // BC,FG // AB,FH // AC。 若 BG:GH:HC = 4:6:5,則 △ ADE 與 △ FGH 的面積比為何?
(A) 2:1
(B) 3:2
(C) 5:2
(D) 9:4
答案:登入後查看
統計: A(61), B(123), C(86), D(256), E(0) #1789579
統計: A(61), B(123), C(86), D(256), E(0) #1789579
詳解 (共 5 筆)
#3183854
堅持不販售解答~

45
0
#4616145
相似形的邊長平方比=面積比
由平行得知DE: GH=(4+5): 6=9: 6= 3: 2
面積比=9: 4
2
1
#4233711
DE // BC,FG // AB,FH // AC
同位角相等
△ADE~△FGH
邊比為DE : GH = (4+5): 6 = 9 : 3 = 3 : 2
則面積比為邊比的平方 9:4
(D)
2
0