阿摩線上測驗
登入
首頁
>
A.電工原理、B.電機機械
>
108年 - 108 台灣中油股份有限公司雇用人員甄試_電氣類(含睦鄰、離島偏遠)、電機類(含睦鄰、離島偏遠):電工原理、電機機械#80972
> 試題詳解
28. 若變壓器一次電源電壓及匝數均保持不變情況下,如果二次側匝數增加,則二次側的電壓會
(A)下降
(B)不變
(C)升高
(D)電壓不穩定
答案:
登入後查看
統計:
A(57), B(18), C(519), D(6), E(0) #2115510
詳解 (共 1 筆)
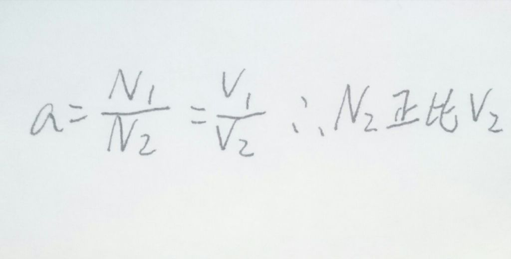
Po Chang Kuo
B1 · 2019/12/05
#3703149
2
0
私人筆記 (共 2 筆)
摩友(100006037726337)
2022/12/26
私人筆記#4786991
未解鎖
個人詳細算法,有錯請指導(僅供參考)
(共 18 字,隱藏中)
前往觀看
7
0
Terry Tung
2023/04/26
私人筆記#5056539
未解鎖
(共 0 字,隱藏中)
前往觀看
0
0
相關試題
1. 使用指針型三用電表測量電阻時,先作零歐姆歸零調整,其目的是在補償: (A)測試棒電阻 (B)電池老化 (C)指針靈敏度 (D)接觸電阻
#2115483
2. 金、銀、銅、鋁依導電率由大至小排列為: (A)金、銀、銅、鋁 (B)銀、金、銅、鋁 (C)銀、銅、金、鋁 (D)銅、銀、金、鋁
#2115484
3. 單位長度的銅線,當銅線的直徑變為原來的兩倍時,電阻值變為原來的: (A)倍 (B) 倍 (C) 2倍 (D) 4倍
#2115485
4. 如圖【一】所示電路,RL兩端的戴維寧等效電路為: (A) ETh=12V,RTh=6Ω (B) ETh=6V,RTh=12Ω (C) ETh=4V,RTh=4Ω (D) ETh=12V,RTh=4Ω
#2115486
5. 有一電阻器上的電壓為v(t)=10 sin(100t ),電流為i(t) = 5 sin (100t),則此電阻的平均功率 為多少? (A) 25瓦特 (B) 50瓦特 (C) 250瓦特 (D) 500瓦特
#2115487
6. 甲燈泡額定電壓110V、瓦特數10W,乙燈泡額定電壓110V、瓦特數100W,今將二燈泡 串聯於110V之電源,兩個燈泡消耗之功率共為: (A) 110W (B) 55W (C) 16.52W (D) 9.09W
#2115488
7. 如圖【二】所示電路,b、c兩端電壓Vbc為: (A) 20V (B) 40V (C) 60V (D) 80V
#2115489
8. 如圖【三】所示電路,求 I 之值為多少? (A) 1A (B) 2A (C) 3A (D) 4A
#2115490
9. 如圖【四】所示電路,試求電路之電壓調整率為何? (A) 10% (B) 15% (C) 20% (D) 25%
#2115491
10. 如圖【五】所示電路,試求a、b 兩點間的電阻為多少? (A) 5Ω (B) 4Ω (C) 3Ω (D) 2Ω
#2115492
相關試卷
113年 - 113 台灣中油股份有限公司_僱用人員甄試_電氣類、電機類:電機機械#123203
2024 年 · #123203
113年 - 113 台灣中油股份有限公司_僱用人員甄試試題_電氣類、電機類:電工原理#123156
2024 年 · #123156
111年 - 111 台灣中油股份有限公司_僱用人員甄試試題_電氣類、電機類:電工原理、電機機械#113765
2022 年 · #113765
110年 - 110 台灣中油股份有限公司_僱用人員甄試試題_電氣類、電機類:電工原理、電機機械#110378
2021 年 · #110378
109年 - 109 台灣中油股份有限公司_雇用人員甄選_電氣類、電機類:電工原理、電機機械#113535
2020 年 · #113535
108年 - 108 台灣中油股份有限公司雇用人員甄試_電氣類(含睦鄰、離島偏遠)、電機類(含睦鄰、離島偏遠):電工原理、電機機械#80972
2019 年 · #80972
107年 - 107 台灣中油股份有限公司雇用人員甄試_電氣類(含睦鄰)、電機類:電工原理、電機機械#73307
2018 年 · #73307
107年 - 台灣菸酒招考-電工原理#68566
2018 年 · #68566
106年 - 106 台灣中油股份有限公司_僱用人員甄選_電氣類(含睦鄰)、電機類:電工原理、電機機械#67305
2017 年 · #67305
105年 - 105 台灣中油股份有限公司_雇用人員甄選_電氣類、電機類、睦鄰-電氣類:A.電工原理、B.電機機械#72572
2016 年 · #72572