48. 營養師想要安排學校下週星期一至星期五的午餐規畫,他列出義大利麵、大滷麵、咖哩飯和排骨飯等四種餐點。營養師想要依據下列 兩項原則安排午餐: 甲、每天只選一種餐點,但五天中每一種餐點至少各點一次。 乙、連續兩天的餐點不可重複且不可連續兩天吃麵食。 請問營養師共有幾種午餐規畫的安排?
(A) 52
(B) 60
(C) 76
(D) 84
(A) 52
(B) 60
(C) 76
(D) 84
答案:登入後查看
統計: A(266), B(595), C(435), D(253), E(0) #2953841
統計: A(266), B(595), C(435), D(253), E(0) #2953841
詳解 (共 8 筆)
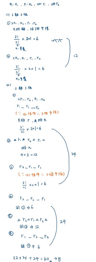
#5545605
窮舉法:
從做嚴苛條件下手
不可連續兩天吃義大利麵、大滷麵延伸幾種可能:
1.星期一三五 吃麵=>2C32X 2!=12
ooooo 紅色為麵,藍色為飯,因一三五吃麵,故二四只能吃飯
2.星期一三 或 三五 吃義大利麵、大滷麵=>2 X 2! X 2! X 2=16
ooooo 因為連在一起的兩藍必須不同的飯故2!
ooooo 綠色2種飯可選故X2
3.星期一五吃義大利麵、大滷麵=>2! X 2 X 1=4
ooooo 綠色部分因同種飯不能相連,所以沒得選(中間只有121或212)
4.星期一四 或 二五吃義大利麵、大滷麵=>2 X 2! X 2! X 2=16
ooooo 因為連在一起的兩藍必須不同的飯故2!
ooooo 綠色2種飯可選故X2
5.星期二四吃義大利麵、大滷麵=>2 !X2C32=12
ooooo 紅色為麵,藍色為飯
12+16+4+16+12=60
54
0
#5714716
25
1
#5549625
19
0
#5745032
11
0
#5877869
窮舉法A、B為麵
C、D為飯
*題目的規定:AB不相連、一組至少要有ABCD各一
1.A開頭跟B開頭一樣,所以窮舉A一次,再x2即可
2.C開頭跟D開頭一樣,所以窮舉C一次,再x2即可
3.窮舉過程中,AC開頭跟AD開頭一樣,所以窮舉AC一次,再x2即可
4.窮舉過程中,CA開頭跟CB開頭一樣,所以窮舉CA一次,再x2即可
5.相加即可
做法(對應上方)
3.窮舉得到8,8x2=16
1.16x2=32
4.窮舉得到5,5x2=10,再窮舉得到4,10+4=14
2.14x2=28
5.32+28=60
5
0
#6338262

ㅤㅤ
參考講解 https://www.youtube.com/watch?v=8OW4MthM7tc
2
0