阿摩線上測驗 登入

試題詳解

試卷:114年 - 114-2 專技高考_藥師(一):藥學(三)(包括藥劑學與生物藥劑學)#128925 | 科目:專技 - 藥劑學(包括生物藥劑學)

試卷資訊

試卷名稱:114年 - 114-2 專技高考_藥師(一):藥學(三)(包括藥劑學與生物藥劑學)#128925

年份:114年

科目:專技 - 藥劑學(包括生物藥劑學)

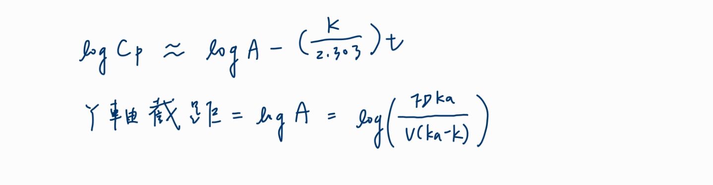
54.承上題,於elimination phase進行外插時,於Y軸所得之截距,下列參數組合排列何者正確?(劑量:D0
(A)
(B)
(C)
(D)

正確答案:登入後查看

詳解 (共 2 筆)

推薦的詳解#6561042
未解鎖
殘值法method of residua...


(共 458 字,隱藏中)
前往觀看
14
1
推薦的詳解#6560117
未解鎖
(D)   原理與推導 ?   此題延...

(共 591 字,隱藏中)
前往觀看
4
1

私人筆記 (共 1 筆)

私人筆記#7342580
未解鎖
56 藥物為線性一室模式,經口服...







(共 473 字,隱藏中)
前往觀看
10
0