阿摩線上測驗
登入
首頁
>
電磁學與電磁波
>
109年 - 109 專技高考_電子工程技師:電磁學與電磁波#93139
> 申論題
題組內容
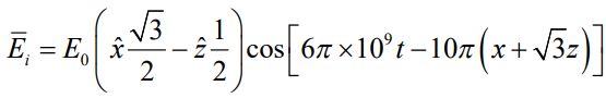
三、圖二所示,一平面波自介質(1)入射,該入射波的電場為
。
⑴計算頻率f(Hz)及波長(m)。
相關申論題
⑴推導兩導體間電場分佈E(r)的表示式。
#383771
⑵推導兩導體間電位分佈V(r)的表示式。
#383772
⑶將Q0表達為V0、ε0 、a及b的函數。
#383773
⑷推導外導體內側電荷密度σ0的表示式。
#383774
⑸推導該傳輸線每單位長度的電容C0表示式。
#383775
⑴標示截止頻率最低的三個模態之模態指數(m,n)。(6分)
#383776
⑵標示截止頻率最低的三個模態之模態指數(m,n)。(6分)
#383777
⑶計算僅一個模態可傳播的最低頻率和最高頻率。(6分)
#383778
⑷推導具有最低截止頻率的模態在頻率為時的群速表示式。 (7分)
#383779
⑵計算折射角θr。
#383781
相關試卷
114年 - 114 專技高考_電子工程技師:電磁學與電磁波#133706
114年 · #133706
113年 - 113 專技高考_電子工程技師:電磁學與電磁波#123977
113年 · #123977
112年 - 112 專技高考_電子工程技師:電磁學與電磁波#117670
112年 · #117670
111年 - 111 專技高考_電子工程技師:電磁學與電磁波#111953
111年 · #111953
110年 - 110 專技高考_電子工程技師:電磁學與電磁波#104065
110年 · #104065
109年 - 109 專技高考_電子工程技師:電磁學與電磁波#93139
109年 · #93139
108年 - 108 專技高考_電子工程技師:電磁學與電磁波#80692
108年 · #80692
107年 - 107 專技高考_電子工程技師:電磁學與電磁波#73009
107年 · #73009
106年 - 106 專技高考_電子工程技師:電磁學與電磁波#66514
106年 · #66514
104年 - 104 專技高考_電子工程技師:電磁學與電磁波#41840
104年 · #41840