阿摩線上測驗
登入
首頁
>
作業研究
>
95年 - 95 專技高考_工業工程技師:作業研究#33090
> 申論題
申論題
試卷:95年 - 95 專技高考_工業工程技師:作業研究#33090
科目:作業研究
年份:95年
排序:0
申論題資訊
試卷:
95年 - 95 專技高考_工業工程技師:作業研究#33090
科目:
作業研究
年份:
95年
排序:
0
題組內容
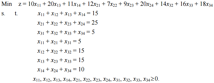
五、茲給予下列運輸問題模式。
申論題內容
⑴請利用佛格約估法(Vogel’s Approximation)求出起始解,列出基本變數值及目 標函數值。(10 分)