阿摩線上測驗 登入

申論題資訊

試卷:110年 - 110 高等考試_三級_電力工程、電子工程、電信工程:電子學#102524
科目:電子學
年份:110年
排序:0

題組內容

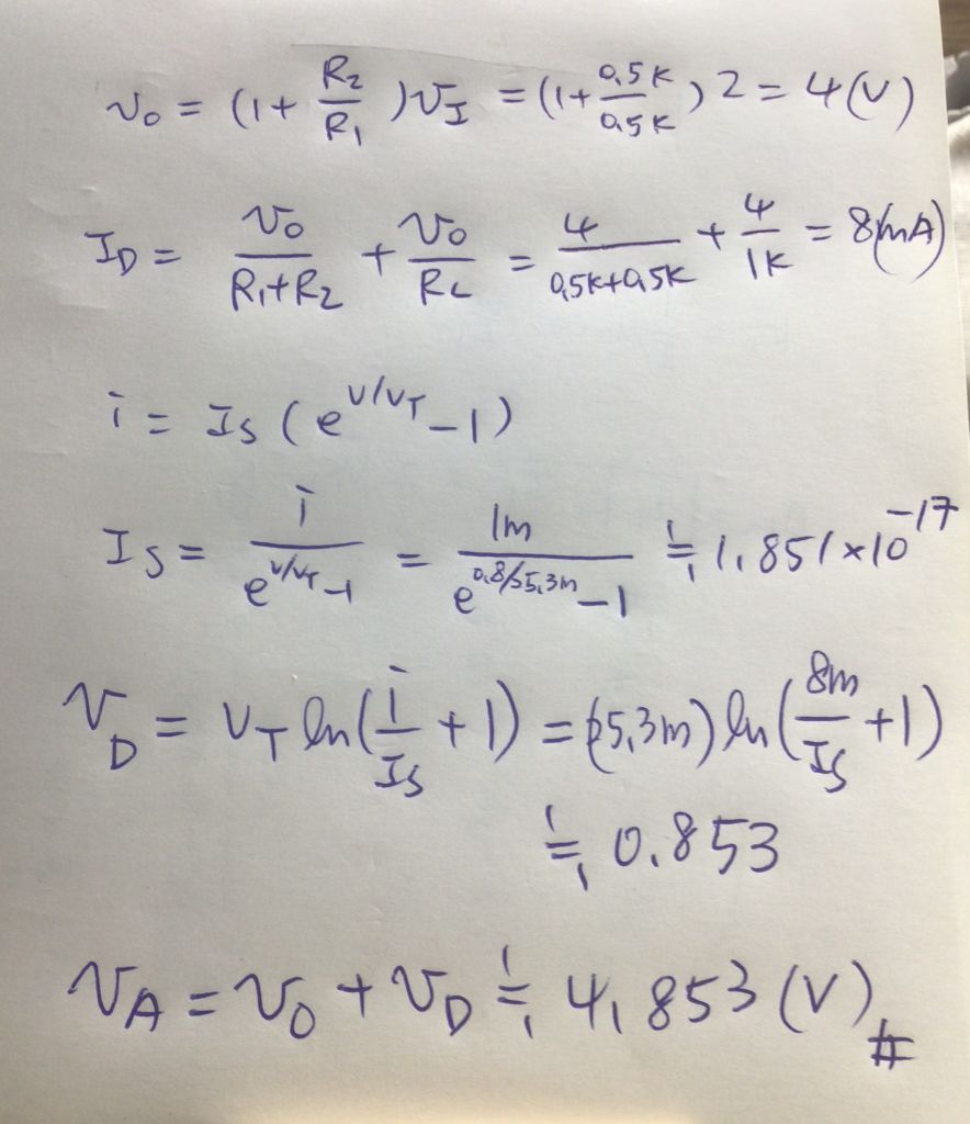
二、下圖電路R1=0.5kΩ,R2=0.5kΩ,RL=1kΩ。

申論題內容

(一)假設運算放大器為理想,二極體D1的電壓電流關係式為616f631c92b6f.jpg,且當1mA流過D1的跨壓為0.8V。當 616f633290f10.jpg=2V,求算616f63388c006.jpg。(10分)

詳解 (共 1 筆)

詳解 提供者:電子荔枝

個人見解,不確定是否正確。

62bfab9865ba8.jpg