題組內容
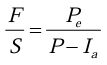
四、水利法出流管制計畫書中有關有效降雨量是以美國水土保持局(Soil Conservation Service,以下簡稱 SCS)之曲線號碼法(Curve Number method,以下簡稱 CN)計算。SCS 法將降雨總量(P)區分為初期降雨 損失量( I a ) 、有效降雨總量( Pe )及入滲總量(F)三部分,並依如下 假設:

上式中 S 為集水區最大蓄水量,其與
的關係為
= 0.2 S ;而 S 與 CN 的關係為 S = 25.4 (1000 / CN - 10) ,其中 S 的單位為 mm(毫米)。 某小集水區的平均 CN 值為 90,其發生如下表的降雨事件,請依 SCS 法計算

(一)各小時的入滲率(mm/hr);