阿摩線上測驗
登入
首頁
>
作業研究
>
112年 - 112 高等考試_三級_工業工程:作業研究#115450
> 申論題
題組內容
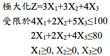
一、有一線性規劃問題如下:
(三)在最佳基底不變的情況下,請分別求算各右手(right hand side)常數個別變動時允許的變動範圍分別為何?(10分)
相關申論題
(一)請利用單純法(simplex method)求解此線性規劃問題的最佳解。(10分)
#493019
(二)在最佳解決策變數值不變的情況下,請分別求算X1、X2及X3各變數其目標函數係數個別變動時允許的變動範圍分別為何?(10分)
#493020
(一)請建構可使總搬運頻率最小化的機器-位置擺設規劃的線性規劃模式。(8分)
#493022
(二)以匈牙利法求解可使總搬運頻率最小化的機器-位置擺設規劃,並計算其總搬運頻率。(7分)
#493023
(一)某消費者若本次在乙店消費,下下次仍在乙店消費的機率為多少?(5分)
#493024
(二)兩個月後,各店的市場占有率各為多少?(5分)
#493025
(三)經過長時間後,各店的市場占有率各為多少?(5分)
#493026
(四)若目前市場的占有率依序分別是40%、30%和30%,則經過長時間後,各店的市場占有率各為多少?(5分)
#493027
四、考慮以下網路圖(如圖一所示),弧上數字為各弧所連結兩節點的距離,某人要從節點A以最短距離抵達節點J。請寫出此問題的動態規劃模式〔亦即此動態規劃問題的最佳值函數(optimal value function)、遞迴關係式(recursive relation)以及邊界條件(boundary condition)〕。然後依此求算此動態規劃問題之最佳路徑及距離。(20分)
#493028
五、有一個兩人競賽(競賽者分別為甲、乙) ,甲分別可以採行策略S1、S2、S3三種策略;乙分別可以採行策略T1、T2、T3三種策略,表二為以甲為立場所列出的報酬矩陣,請求解甲、乙雙方採用其可用策略之最佳機率分別為多少以及本問題之競賽值為多少?(15分)
#493029
相關試卷
114年 - 114 地方政府公務特種考試_三等_工業工程:作業研究#134713
114年 · #134713
114年 - 114 專技高考_工業工程技師:作業研究#133680
114年 · #133680
114年 - 114 高等考試_三級_工業工程:作業研究#128750
114年 · #128750
113年 - 113 地方政府公務特種考試_三等_工業工程:作業研究#124521
113年 · #124521
113年 - 113 專技高考_工業工程技師:作業研究#123885
113年 · #123885
113年 - 113 高等考試_三級_工業工程:作業研究#121489
113年 · #121489
112年 - 112 地方政府特種考試_三等_工業工程:作業研究#118325
112年 · #118325
112年 - 112 專技高考_工業工程技師:作業研究#117594
112年 · #117594
112年 - 112 公務升官等考試_薦任_工業工程:作業研究#117328
112年 · #117328
112年 - 112 高等考試_三級_工業工程:作業研究#115450
112年 · #115450