題組內容
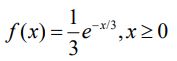
三、某保險理賠公司接獲申請理賠電話的間隔時間(單位:分鐘)為指數分配:
(三)請用卜瓦松分配計算5分鐘內都沒有來電申請理賠的機率為何?(10分)
詳解 (共 1 筆)
詳解
X~exp(入=1/3)
=> X~Poi(入=3) t=5 => X~Poi(入t=5/3)
P(X=0)= e-5/3(5/3)0 / 0! = e-5/3=0.1889