阿摩線上測驗
登入
首頁
>
流體力學與水文學
>
98年 - 98 專技高考_環境工程技師:流體力學與水文學#37166
> 申論題
申論題
試卷:98年 - 98 專技高考_環境工程技師:流體力學與水文學#37166
科目:流體力學與水文學
年份:98年
排序:0
申論題資訊
試卷:
98年 - 98 專技高考_環境工程技師:流體力學與水文學#37166
科目:
流體力學與水文學
年份:
98年
排序:
0
題組內容
一、選擇題(可複選,選錯一個扣一分):(每小題 5 分,共 20 分)
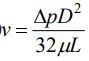
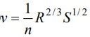
下列五個公式常用於計算明渠或水管中的流速:
(1)v = C√ RS , (2)
,(3)
, (4) v = 0.85CR
0.63
S
0.5
,(5)
; 符號v、R、S、h
L
、L、D、∆p、及µ ,分別代表速度、水力半徑、能量坡降、水頭損失、管長、直徑、壓力差及黏滯係數;又C、f、n皆代表與表面粗糙度有關的係 數。試問(1)~(5)那幾個公式
申論題內容
(三)適用於明渠流?