阿摩線上測驗
登入
首頁
>
近代物理
>
108年 - 108 地方政府特種考試_三等_天文:近代物理#81605
> 申論題
題組內容
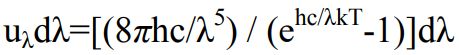
五、溫度為 4,000 K 的腔體有一半徑為 1.0 mm 的圓形孔洞。利用普郎克的輻 射公式
估算:(每小題 10 分,共 20 分)
(二)在可見光區域每秒由孔洞發出的光子數。(毋須積分,(一)(二)皆用平均 波長估算,e
6.43
=620, 5.5
-5
=2×10
-4
)
相關申論題
一、(一)利用德布羅意(de Broglie)物質波的關係式,推導出電子在氫原子中 的角動量 L 所滿足的波爾(Bohr)條件,即 L = nh/2 π,其中 n 為正 整數。(7 分)
#332467
(二)使用波爾條件推導出氫原子的電子能態公式,即 En = - mee 4 /8εo 2 h 2 n 2。 (7 分)
#332468
(三)要完全指定氫原子的量子狀態,還需要那些額外的量子數及其量化的 物理量?(6 分)
#332469
二、有一個在一維 x 空間的粒子,其運動受到位能函數 V(x)的影響,而其波動 函數(未歸一化)為 ψ(x)=e /,a 為常數。如果 V(x)在 x=0 處有極小 值,試利用薛丁格方程式(Schrödinger equation)求出:(一)此粒子運動能 量的本徵值(eigenvalue)(10 分),及(二)位能函數 V(x)。(10 分)
#332470
三、有一 1.5 MeV 的伽馬(γ)射線撞擊一鉭(Ta)的薄箔,觀察到從鉭箔 中跑出了動能為 0.7 MeV 的電子,這是由於光電效應(photoelectric effect)、康普頓散射(Compton scattering)還是成對生產(pair production)?必須分別說明這三種途徑可能或不可能的理由。假設在與 鉭箔材料的初始相互作用中產生的任何電子不會進行第二次的相互作 用。(20 分) 代號:34950 頁次:2-2
#332471
(一)預計在 C 中會記錄多少個 π +介子?
#332472
(二)計算 π +介子平均壽命。(假設 π +介子的靜止質量為 140 MeV/c2, ln(1000/470)=0.755)
#332473
(一)在可見光區域(0.4-0.7 μm)內,由孔洞所發出的輻射功率。
#332474
(三)假設某區域肥皂水薄膜的厚度為 d = 300 nm,肥皂水薄膜的折射率為 n = 1.33 ~ 4/3,在波長範圍為 400–700 nm 的可見光中,將會有那些色光呈現亮紋?請列舉至少兩個符合條件的可見光波長。
#548613
(二)圖中 A、B、C、D 與 E 五個區域所呈現之色彩與色帶寬度,是由那些科學原理所決定?請說明其成因與原理。
#548612
相關試卷
114年 - 114 高等考試_三級_天文:近代物理#128643
114年 · #128643
113年 - 113 高等考試_三級_天文:近代物理#121225
113年 · #121225
112年 - 112 高等考試_三級_天文:近代物理#115423
112年 · #115423
111年 - 111 高等考試_三級_天文:近代物理#109461
111年 · #109461
108年 - 108 地方政府特種考試_三等_天文:近代物理#81605
108年 · #81605
106年 - 106 高等考試_三級_天文:近代物理#63467
106年 · #63467
104年 - 104 高等考試_一級_物理:近代物理研究#29930
104年 · #29930
102年 - 102 高等考試_一級_物理:近代物理研究#34182
102年 · #34182
102年 - 102 地方政府特種考試_三等_天文:近代物理#31346
102年 · #31346
101年 - 101 專利商標審查特種考試_三等_物理:近代物理#35010
101年 · #35010