阿摩線上測驗
登入
首頁
>
作業研究
>
113年 - 113 高等考試_三級_工業工程:作業研究#121489
> 申論題
題組內容
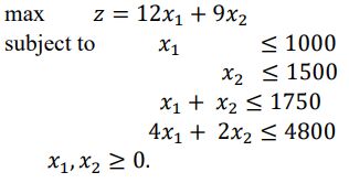
三、考慮以下線性規劃問題
(二)請以單形法(Simplex method)的表格式(Tableau form)來求解最佳解並在每回合表中列出完整之列表。 (20 分)
相關申論題
(一)請寫出對偶問題之目標式。(5 分)
#517480
(二)請寫出對偶問題之限制式。(20 分)
#517481
(一)假設p>1/2,利用V0(x) =ln(x)之結果,證明V1(x) =c+ln(x),其中c=ln(2) +p ln(p)+q ln(q)。(15 分)
#517482
(二)假設p>1/2,證明,for all 皆成立而且最佳下注策略為每次下注的金額為其當下所擁有的現金之p−q比例。 (10 分)
#517483
(一)請將此問題轉成以標準型式(standard form)來表示,也就是將所有不等式轉成為等式的型式。(5 分)
#517484
四、律師事務所正準備招聘新的律師。以下是律師事務所預估未來一年新聘律師所需要處理的案件時數: 每一位新聘的律師預期每月可以處理 150 小時的案件時數而且其聘任期至少為一年。所有的案件時數必須在年終處理完畢。這家律師事務所想 要決定新的一年所要聘任的新律師的人數。請定義所需之決策變數並將 此問題以整數規劃的形式表示出來。(25 分)
#517486
(三)若此消費性產品的市場有 10,000 名消費者,每位消費者平均一年購買 一次,A, B, C 品牌的單位售價分別為$600, $900, $1,200。請計算長期下來該消費性產品每年的總銷售額為多少?
#560545
(二)計算穩定狀態機率。
#560544
(一)寫出此問題的一階移轉機率矩陣(transition matrix)。
#560543
(四)請求算 A, B, C, D 四個方案分別適用於樂觀指數各為多少的範圍?
#560542
相關試卷
114年 - 114 地方政府公務特種考試_三等_工業工程:作業研究#134713
114年 · #134713
114年 - 114 專技高考_工業工程技師:作業研究#133680
114年 · #133680
114年 - 114 高等考試_三級_工業工程:作業研究#128750
114年 · #128750
113年 - 113 地方政府公務特種考試_三等_工業工程:作業研究#124521
113年 · #124521
113年 - 113 專技高考_工業工程技師:作業研究#123885
113年 · #123885
113年 - 113 高等考試_三級_工業工程:作業研究#121489
113年 · #121489
112年 - 112 地方政府特種考試_三等_工業工程:作業研究#118325
112年 · #118325
112年 - 112 專技高考_工業工程技師:作業研究#117594
112年 · #117594
112年 - 112 公務升官等考試_薦任_工業工程:作業研究#117328
112年 · #117328
112年 - 112 高等考試_三級_工業工程:作業研究#115450
112年 · #115450