題組內容
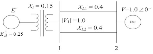
4.一部 60 Hz 同步發電機其慣量常數 15 MJ/MVA,送出 1.0 標么的實功率到系統中,其單線圖如下,若在輸電線送電端發生一暫時性的三相故障;當故障被清除時,兩組傳輸線皆無損傷。使用等面積法則,決定:(皆四捨五入至小數點以下第三位)
4.一部 60 Hz 同步發電機其慣量常數 15 MJ/MVA,送出 1.0 標么的實功率到系統中,其單線圖如下,若在輸電線送電端發生一暫時性的三相故障;當故障被清除時,兩組傳輸線皆無損傷。使用等面積法則,決定:(皆四捨五入至小數點以下第三位)