阿摩線上測驗
登入
首頁
>
教甄◆數學
>
113年 - 113-1 國立嘉科實驗高級中等學校_國中部教師甄選:數學#119116
> 申論題
題組內容
(二)計算題(共 18 分)
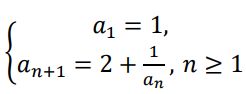
已知數列< an >滿足遞迴關係式:
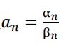
。 設
,其中α
n
, β
n
為互質的兩正整數。
(2) 試證明< a
n
>為收斂數列,並求其收斂值。 (證明 8 分,收斂值 3 分)
相關申論題
1. 已知二次函數 y =x 2 +2 x -3 的圖形與 x 軸交於點 A ( x1 ‚0)、 B (x 2 ‚0), 其中 x1 >x 2 。設 Q (2‚ y0 )為 y = x2 +2 x -3 上的一點,在此二次函數的對稱軸上找一點 P ,使得的值最小,則 P 點坐標為何?
#506918
2. 設f(x) = 2 cos2 x + sin 2 x − 2 sin 2 x cos 2 x, 0 ≤ x ≤ π,求f(x)的最小值。
#506919
3. 在四邊形 ABCD 中,已知=10,∠A =∠B =60°, 則=?
#506920
4. 有一場有趣的數學遊戲在兩位非常聰明的學生甲、乙之間進行。首先,裁判 在黑板寫出正整數 2,3,…,2024,然後隨意擦去一個數,接下來由甲、乙兩人 輪流擦去其中的一個數(即甲先擦去其中的一個數,然後乙再擦去的一個 數,…,如此下去)。若最後剩下的兩個數互質,則判乙勝;否則,判甲勝。 按照這種遊戲規則,求乙勝的機率?
#506921
5. 設n為正整數,定義函數s(n)表示n的各位數字的和,例如s(375) = 3 + 7 + 5 = 15, s(3) = 3。試求滿足s(s(n)) = 2,且n的各位數字均不為 0 的正整數 n共有幾個?
#506922
6. 已知 A,B,C,D 四個人,每人均恰會中文、英文、日文、法文、義大利文這五 種語言中的其中三種,每人會的語言可能不盡相同,且這五種語言外的其它 語言他們也都不懂。求這四個人無法使用一個共同語言溝通的情況有幾種可 能?
#506923
(1) 試證明對所有的正整數n,αn, βn均為奇數。 (7 分)
#506924
(三)申論題(共 20 分)現行 108 課綱注重素養導向,除了培養學生具備相對應的知識與能力外, 更是期待能夠將所學作實際應用。請從測量的觀點,設計情境題,使得在不同情況下,可以利用下列定理當工具進行實測。定理一:相似三角形性質定理二:畢氏定理定理三:餘弦定理
#506926
設 \(\alpha\)、\(\beta\)、\(\gamma\) 是三角形 ABC 的三個內角,證明 \(\sin \alpha + \sin \beta + \sin \gamma \leq \frac{3\sqrt{3}}{2}\)。
#573136
坐標平面上,設 \(A(x_{1},y_{1}), B(x_{2},y_{2})\) 為拋物線 \(y = ax^{2}\) 上的相異兩點,且過 A 作此拋物線的切線為 \(L_{1}\),過 B 作此拋物線的切線為 \(L_{2}\)。若 \(L_{1}\) 和 \(L_{2}\) 交於點 \(P(x_{3},y_{3})\),試證明 \(x_{3} = \frac{x_{1} + x_{2}}{2}\)。
#573135
相關試卷
115年 - 115 教育部受託辦理公立高級中等學校教師甄選試題:數學科#139603
115年 · #139603
115年 - 115-1 國立彰化高級中學_教師甄選試題:數學科#139364
115年 · #139364
115年 - 115 臺北市立南港高級中學_正式教師甄選_高中數學科#139341
115年 · #139341
115年 - 115-1 新北市立板橋高級中學_正式教師甄選試題:數學科#139339
115年 · #139339
115年 - 115-1 臺北市立南湖高級中學_正式教師甄選試題:數學科#139253
115年 · #139253
115年 - 115 國立屏東大學_各師資類科教育學程甄選試題:數學#139246
115年 · #139246
115年 - 115 臺北市立陽明高級中學正式教師甄選試題:高中數學科#139228
115年 · #139228
115年 - 115 新北市公立高級中等學校_教師聯合甄選試題:數學科#139227
115年 · #139227
115年 - 115 臺北市立內湖高級工業職業學校_正式教師甄試:數學科#139221
115年 · #139221
115年 - 115 桃園市立陽明高中_教師甄選試題:數學科#139018
115年 · #139018