題組內容
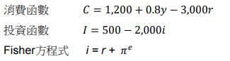
3. 某國央行經研處估計該國的消費與投資函數如下:
r與i分別是名目利率與實質利率,
是預期通膨率。該國目前處於自然產出環境
= 6,000。依
據新古典實質可貸資金理論,計算下列問題:
(B)新冠肺炎爆發引起人們產生預期通縮為?
= −2%,均衡名目利率與實質利率分別為何?(5%)
3. 某國央行經研處估計該國的消費與投資函數如下:
r與i分別是名目利率與實質利率,
是預期通膨率。該國目前處於自然產出環境
= 6,000。依
據新古典實質可貸資金理論,計算下列問題:
(B)新冠肺炎爆發引起人們產生預期通縮為?
= −2%,均衡名目利率與實質利率分別為何?(5%)