題組內容
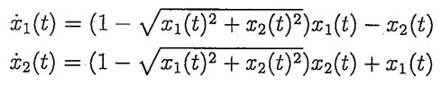
6.(30%) Consider the following set of differential equations
(a) (10%) Express the differential equations using the polar coordinate; i.e. express the equations in terms of (r, θ), where x1(t) =r(t) cos(θ(t)) and x2(t) =r(t) sin(θ(t).
6.(30%) Consider the following set of differential equations
(a) (10%) Express the differential equations using the polar coordinate; i.e. express the equations in terms of (r, θ), where x1(t) =r(t) cos(θ(t)) and x2(t) =r(t) sin(θ(t).