題組內容
以下第5題到第6題中之所有的提問,需要寫出推導過程或詳细說明理由答案正確但沒有推導過程或說明不正確,將酌扣分數或不给分。
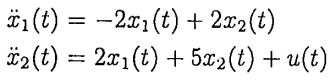
5.(20%) Consider the following set of differential equations


(a) (15%) Let u(t) = O and the initial conditions bex1(0)=x2(0)=1,
.Find the solutions of the differential equations.