阿摩線上測驗 登入

申論題資訊

試卷:110年 - 110 國立臺灣大學_碩士班招生考試_電子工程研究所甲、乙組:電子學(D)#102155
科目:研究所、轉學考(插大)◆電子學
年份:110年
排序:0

題組內容

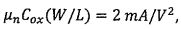
3. Consider the amplifier circuit as shown in Fig. 3. The parameters are given as6167d1a6d69ff.jpg6167d1d414541.jpg and the coupling capacitors6167d1f795775.jpgare ideal.
6167d300aafae.jpg

申論題內容

(b) Find the input resistance 6167d2630e2a2.jpg of the amplifier. [5%]