阿摩線上測驗
登入
首頁
>
研究所、轉學考(插大)-流體力學
>
104年 - 104 淡江大學 轉學考 流體力學#53150
>
題組內容
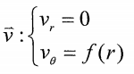
4. (20)Known
(b) find f(r) if the flow is a forced vortex
其他申論題
1. (20)Consider the flow field given by φ— ax2 — ay2, where a = 3s-1. Show that the flow is irrotational. Determine the velocity potential for this flow.
#193961
【已刪除】2. (20)The shaded area shown is in a flow where the velocity field is given by ,and the coordinates are measured in meters. Evaluate the volume flow rate and the momentum flux through the shaded area.
#193962
【已刪除】3. (20)0il flows steadily in a thin layer down an inclined plane. The velocity profile is Express the mass flow rate per unit width in terms of p,u, g,θ, and h .
#193963
(a) find f(r) if flow is a free vortex
#193964
【已刪除】5. (20)The horizontal velocity in the wake behind an object in an air stream of velocity U is given by where r is the non-dimensional radial coordinate, measured perpendicular to the flow. Find an expression for the drag on the object.
#193966
沒有 【段考】高二英文 權限,請先開通.
#193967
沒有 【段考】高二英文 權限,請先開通.
#193968
沒有 【段考】高二英文 權限,請先開通.
#193969
沒有 【段考】高二英文 權限,請先開通.
#193970
沒有 【段考】高二英文 權限,請先開通.
#193971