阿摩線上測驗 登入

申論題資訊

試卷:106年 - 106 高等考試_三級_衛生行政、食品衛生檢驗、衛生技術、漁業技術:生物統計學#63515
科目:生物統計學
年份:106年
排序:0

題組內容

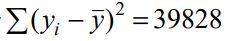
四、某研究者擬探討婦女罹患乳癌經治療半年後的生活滿意度影響因子,取樣 100 位乳 癌患者在治療半年後進行調查,並作簡單線性迴歸分析,其中依變項(Y)為生活滿 意度分數(分數愈高表示滿意度愈高),而自變項 X1 為家庭支持(分數愈高表示家 庭支持愈佳),已知,試問:

申論題內容

⑴在此簡單線性迴歸分析(simple linear regression)中,決定係數為何?解釋其意義。 

詳解 (共 1 筆)

詳解 提供者:張庭瑀
1234567890