阿摩線上測驗
登入
首頁
>
物理化學
>
104年 - 104 高等考試_三級_商品檢驗:物理化學#25606
> 申論題
申論題
試卷:104年 - 104 高等考試_三級_商品檢驗:物理化學#25606
科目:物理化學
年份:104年
排序:0
申論題資訊
試卷:
104年 - 104 高等考試_三級_商品檢驗:物理化學#25606
科目:
物理化學
年份:
104年
排序:
0
題組內容
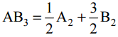
一、氣體 AB
3
之分解過程根據下列方程式:
,在 200˚C 下,AB
3
之分壓隨時間變動,如下表所示:
此分解過程是不可逆的:(每小題 10 分,共 20 分)
申論題內容
⑴請問此反應是幾級?