阿摩線上測驗
登入
首頁
>
作業研究
>
107年 - 107 專技高考_工業工程技師:作業研究#72758
> 申論題
題組內容
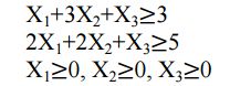
一、有一線性規劃問題如下: 極小化 Z=13X
1
+19X
2
+10X
3
受限於
若將上述問題稱為主要問題:
⑵利用對偶性質及圖解法求出原始問題的最佳解。(10 分)
相關申論題
⑴請寫出上述主要問題的對偶問題(Dual problem)。(5 分)
#295760
⑴請以極大化問題為例,列表比較一般單純法(Simplex method)與對 偶單純法(Dual simplex method)在計算程序上的差異。(10 分)
#295762
⑵若將原本的線性規劃問題稱為主要問題,其對應的問題稱為對偶問 題。請分別以極大化問題與極小化問題為例,列表比較各種線性規劃 形式其主要問題與對偶問題在限制式及變數的對應關係。(5 分)
#295763
⑴請建構可使總運輸成本為最小的線性規劃模式。(4 分)
#295764
⑵請以西北角法(Northwest corner method)求算本運輸問題的起始解, 然後以修正分配法(Modified distribution method)求算使總運輸成本 為最小的最佳解。(計算過程請務必列出)(6 分)
#295765
⑴繪製此專案的 AOA(Activity on arc)網路圖。(4 分)
#295766
⑵若此專案以正常時間執行,則此專案的要徑(Critical path)為何?要 徑的總時間是多少?(4 分)
#295767
⑶若本專案被要求縮短專案的完成時間,則依表一的資料,本專案最快 的完成時間是幾週?(4 分)
#295768
⑷若此專案欲以 26 週完工,目標是使增加的成本最少,請以邊際成本 分析(Marginal cost analysis)法分析須趕工那些作業?各趕工幾週? 此時專案的總成本為多少?(8 分)
#295769
五、有一個最大載重為 20 公噸的貨櫃,目前有三種貨物可供裝載,各種貨 物的單位利潤與單位重量如表二所示:應該選擇那些貨物?各裝載幾單位?才能使得此貨櫃裝載的總利潤最 大。請寫出此動態規劃問題的最佳值函數(Optimal value function)、遞 迴關係式(Recursive relation)以及邊界條件(Boundary condition)。然 後依此求算本問題之最佳解。(20 分)
#295770
相關試卷
114年 - 114 地方政府公務特種考試_三等_工業工程:作業研究#134713
114年 · #134713
114年 - 114 專技高考_工業工程技師:作業研究#133680
114年 · #133680
114年 - 114 高等考試_三級_工業工程:作業研究#128750
114年 · #128750
113年 - 113 地方政府公務特種考試_三等_工業工程:作業研究#124521
113年 · #124521
113年 - 113 專技高考_工業工程技師:作業研究#123885
113年 · #123885
113年 - 113 高等考試_三級_工業工程:作業研究#121489
113年 · #121489
112年 - 112 地方政府特種考試_三等_工業工程:作業研究#118325
112年 · #118325
112年 - 112 專技高考_工業工程技師:作業研究#117594
112年 · #117594
112年 - 112 公務升官等考試_薦任_工業工程:作業研究#117328
112年 · #117328
112年 - 112 高等考試_三級_工業工程:作業研究#115450
112年 · #115450